Logo

American Heart Association

  137
  0


Final ID: Mo2196

Exercise-induced cardiomyopathy in the absence of coronary artery disease: Clinical characteristics and outcomes.

Abstract Body (Do not enter title and authors here): Background. Patients with normal resting left ventricular ejection fraction (LVEF) without either coronary artery disease (CAD) or a hypertensive response can paradoxically develop reduced LVEF during exercise stress echocardiography (ESE). The clinical phenotype and outcomes of these patients is unknown.
Hypothesis. Patients who paradoxically develop reduced LVEF during exercise may represent a sub-phenotype of heart failure with preserved LVEF (HFpEF).
Aims. To describe the baseline characteristics and clinical outcomes of this unique patient population.
Methods. Among all ESE performed between January 2003 and December 2022, patients without a hypertensive response to exercise and without CAD by angiogram within 90 days of ESE, who had a resting LVEF ≥50% with a ≥5% LVEF decrease during ESE were identified. All-cause mortality, HF hospitalization, and atrial fibrillation (AF) outcomes were assessed. Kaplan-Meier and Cox regression methods were used to analyze time-to-event outcomes.
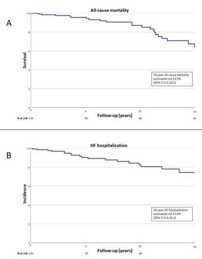
Results. Among 213,643 stress echocardiograms performed, 134 patients met eligibility criteria (Table 1). The mean age of the population was 66±10 years, 76% were women, and 16% had AF at baseline. Mean LVEF was 58±4% at rest and 43±4% at peak stress. Stress electrocardiogram met criteria for ischemia in 14%. The 10-year all-cause mortality risk was 12.9% (95% CI 5.5-20.3) with 10 (37%) of 27 deaths due to cancer (Figure 1, Panel A). The 10-year estimated risk of HF hospitalization was 17.6% (95% CI 9.0-26.2) (Figure 1, Panel B). Among 112 patients without AF at baseline, the 10-year risk of developing AF was 23.4% (95% CI 13.4-33.4).
Conclusions. Patients with exercise-induced reduced LVEF in the absence of obstructive CAD have a high incidence of HF hospitalizations and AF. Given the preponderance of women, risk for AF, HF hospitalizations, and cancer-related deaths, the possibility that this condition is an early sub-phenotype of HFpEF should be investigated.
  • Fazzini, Luca  ( Mayo Clinic , Cagliari , Italy )
  • Wang, Min  ( Mayo Clinic , Rochester , Minnesota , United States )
  • Wang, Li  ( Mayo Clinic , Rochester , Minnesota , United States )
  • Gulati, Rajiv  ( MAYO CLINIC , Rochester , Minnesota , United States )
  • Montisci, Roberta  ( University of Cagliari , Cagliari , Italy )
  • Pellikka, Patricia  ( MAYO CLINIC COLLEGE MEDICINE , Rochester , Minnesota , United States )
  • Pereira, Naveen  ( Mayo Clinic , Rochester , Minnesota , United States )
  • Hubers, Scott  ( Mayo Clinic , Cagliari , Italy )
  • Cao, Jenny Jia Ling  ( Mayo Clinic , Rochester , Minnesota , United States )
  • Scott, Christopher  ( Mayo clinic , Rochester , Minnesota , United States )
  • Mccully, Robert  ( Mayo Clinic , Rochester , Minnesota , United States )
  • Castrichini, Matteo  ( Mayo Clinic , Cagliari , Italy )
  • Figueiral, Marta  ( Mayo Clinic , Rochester , Minnesota , United States )
  • Mohananey, Akanksha  ( Mayo Clinic , Rochester , Minnesota , United States )
  • Ghazal, Rachad  ( Mayo Clinic , Rochester , Minnesota , United States )
  • Author Disclosures:
    Luca Fazzini: DO NOT have relevant financial relationships | Min Wang: DO NOT have relevant financial relationships | Li Wang: No Answer | Rajiv Gulati: DO NOT have relevant financial relationships | Roberta Montisci: No Answer | Patricia Pellikka: DO have relevant financial relationships ; Research Funding (PI or named investigator):Ultromics Ltd:Active (exists now) ; Research Funding (PI or named investigator):TerSera:Past (completed) ; Research Funding (PI or named investigator):GE Healthcare:Past (completed) ; Consultant:Astellas:Past (completed) ; Research Funding (PI or named investigator):Edwards Lifesciences:Active (exists now) | Naveen Pereira: DO NOT have relevant financial relationships | Scott Hubers: No Answer | Jenny Jia Ling Cao: DO NOT have relevant financial relationships | Christopher Scott: DO NOT have relevant financial relationships | Robert McCully: No Answer | Matteo Castrichini: No Answer | Marta Figueiral: DO NOT have relevant financial relationships | Akanksha Mohananey: DO NOT have relevant financial relationships | Rachad Ghazal: DO NOT have relevant financial relationships
Meeting Info:

Scientific Sessions 2024

2024

Chicago, Illinois

Session Info:

Cardiomyopathy Potpourri 2

Monday, 11/18/2024 , 01:30PM - 02:30PM

Abstract Poster Session

More abstracts on this topic:
4-Hydroxy-2-Nonenal Alters Alternative Polyadenylation to Regulate mRNA Isoform Diversity in the Transition from Human Cardiac Fibroblasts to Myofibroblasts

Natarajan Kartiga, Neupane Rahul, Yalamanchili Hari Krishna, Palaniyandi Suresh, Wagner Eric, Guha Ashrith, Amirthalingam Thandavarayan Rajarajan

A Novel Echocardiography Risk Score Predicted Mortality In Patients With Heart Failure With Preserved Ejection Fraction.

Iwakura Katsuomi, Yoshio Yasumura, Hikoso Shungo, Okada Katsuki, Nakatani Daisaku, Sotomi Yohei, Sakata Yasushi, Tanaka Nobuaki, Okada Masato, Okamura Atsunori, Heitaro Watanabe, Seo Masahiro, Hayashi Takaharu, Yano Masamichi, Yamada Takahisa

More abstracts from these authors:
Implications of Electrocardiographic-Based Artificial Intelligence on Patients with Exercise-Induced Cardiomyopathy

Figueiral Marta, Wang Min, Wang Li, Gulati Rajiv, Montisci Roberta, Pellikka Patricia, Pereira Naveen, Fazzini Luca, Cao Jenny Jia Ling, Hubers Scott, Scott Christopher, Mccully Robert, Castrichini Matteo, Mohananey Akanksha, Ghazal Rachad

Prevalence, Penetrance, and Phenotypic Manifestation of Incidental Cardiomyopathy-Associated Genetic Variants in a Quaternary Medical Center-based Population

Figueiral Marta, Fazzini Luca, Tan-arroyo Jennifer, Olson Rory, Bublitz Josh, Olson Janet, Klee Eric, Pereira Naveen

You have to be authorized to contact abstract author. Please, Login
Not Available