Logo

American Heart Association

  117
  0


Final ID: Su4141

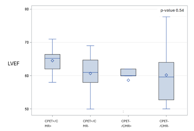
LVEF by echocardiogram does not correlate with findings on advanced cardiac imaging in cardiac sarcoidosis patients

Abstract Body (Do not enter title and authors here): Background:
Sarcoidosis is a systemic non-caseating granulomatous disease that can involve numerous organs, classically lung and lymph node. Patients with cardiac involvement typically have poorer outcomes, with left ventricular ejection fraction (LVEF) predicting mortality. There is little contemporary data evaluating the relationship of baseline LVEF at time of active cardiac sarcoidosis (CS) involvement or change in LVEF over time in patients with abnormal cardiac positron emission tomography (CPET) or cardiac magnetic resonance (CMR).

Hypothesis:
Abnormal CPET or CMR findings suggestive of CS will be associated with concurrently lower LVEF, as well as progressive decline in LVEF over long-term follow-up in those with CS.

Methods:
At a major sarcoidosis referral center, a retrospective analysis was performed on 1,901 biopsy-proven sarcoidosis patients and 358 probable CS patients by 2014 HRS Expert Consensus on Diagnosis. All echocardiograms, CPET, and CMR data were compiled. LVEF at time of positive and negative CMR and CPET within 6 months of each other, as well as LVEF change on long-term follow-up were analyzed by t-test and Tukey’s Studentized Range Test.

Results:
CPET and CMR positive findings did not correlate with lower LVEF at time of abnormal findings. Over an average of 4.98 years (range 0.25 to 11.68 years), LVEF by echocardiogram did not significantly change in patients with positive, negative, or discordant CPET/CMR imaging.

Conclusions:
Structural abnormalities by echocardiogram do not correlate with positive or negative CPET/CMR and are of little utility in early detection of cardiac sarcoidosis. These data suggest that combined CPET/CMR protocols increase the sensitivity of identifying early cardiac involvement of sarcoidosis. A normal echocardiogram should not be reassuring to the clinician against possible cardiac involvement of sarcoidosis.
  • Feldhus, Konner  ( Saint Joseph Hospital , Denver , Colorado , United States )
  • Barkes, Briana  ( National Jewish Health , Denver , Colorado , United States )
  • Maier, Lisa  ( National Jewish Health , Denver , Colorado , United States )
  • Swigris, Jeffrey  ( National Jewish Health , Denver , Colorado , United States )
  • Sung, Raphael  ( National Jewish Health , Denver , Colorado , United States )
  • Author Disclosures:
    Konner Feldhus: DO NOT have relevant financial relationships | Briana Barkes: No Answer | Lisa Maier: No Answer | Jeffrey Swigris: No Answer | Raphael Sung: No Answer
Meeting Info:

Scientific Sessions 2024

2024

Chicago, Illinois

Session Info:

Hot Topics in Cardiovascular Imaging

Sunday, 11/17/2024 , 11:30AM - 12:30PM

Abstract Poster Session

More abstracts on this topic:
4D Cardiac Magnetic Resonance Identifies Differences in Regional Strain Patterns Among Pediatric Heart Transplant Patients with Acute Rejection or Cardiac Allograft Vasculopathy

Henderson Christopher, Starnes Joseph, Samyn Margaret, Damon Bruce, Hernandez Lazaro, Goergen Craig, Soslow Jonathan, Prado Marco Aurélio, Earl Conner, Georgedurrett Kristen, Lee Simon, Nandi Deipanjan, Chan Kak-chen, Shugh Svetlana, Kikano Sandra

Brain and Cardiovascular Connection in Recovery: Coupling Neurovascular Regulation to Vascular and Non-cardiac Inflammation in the Individual Patient Post Acute Myocardial Infarction

Lopez Javier, Chung Kevin, Atsina Kwame, Abdelhafez Yasser, Chaudhari Abhijit, Schaefer Saul, Badawi Ramsey, Wang Guobao

You have to be authorized to contact abstract author. Please, Login
Not Available