Logo

American Heart Association

  138
  0


Final ID: Sa4020

Systemic Inflammation Increases 30-Day Mortality of Patients with ST-Segment Elevation Myocardial Infarction

Abstract Body (Do not enter title and authors here): Background: The inflammatory response plays a crucial role in various aspects of acute coronary syndrome. However, there is limited data associating a validated inflammation risk score and overall mortality prediction in patients with ST-elevation myocardial infarction (STEMI) undergoing primary percutaneous coronary intervention (pPCI).

Hypothesis: We hypothesize that patients with STEMI exhibiting a severe inflammatory profile undergoing primary PCI have a higher incidence of all-cause mortality within 30 days.

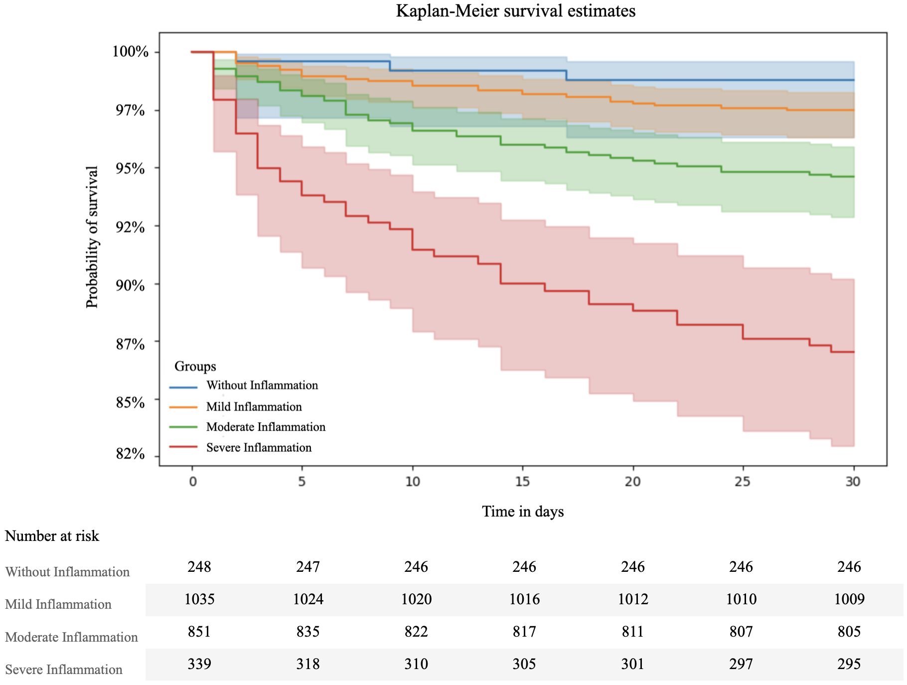
Methods: This retrospective cohort study obtained from the Coronary Care Unit of a tertiary center in Mexico, included 2,473 patients with acute STEMI who underwent pPCI between October 2005 and December 2023. We employed an inflammation score which comprises: high-sensitivity C-reactive protein (≥ 13.0 mg/L), white blood cell count (≥ 9.3 x103/µL), and serum albumin level (≤ 3.6 g/dL) upon admission. We categorized systemic inflammation into four distinct levels. Mortality risk across these cohorts was compared using the Kaplan-Meier method.

Results: The cohort included 248, 1035, 851, and 339 patients with no, mild, moderate, and severe inflammation, respectively. A significant proportion of the sample (76.3%) displayed mild to moderate inflammation, underscoring its prevalence in the studied population. Notably, 13.7% exhibited severe inflammation, potentially indicating high-risk groups. At the 30-day follow-up, patients with severe inflammation exhibited the highest mortality rates (Image 1; 1.2% vs. 2.5% vs. 5.4% vs. 13%, respectively; Log-rank p<0.001). The hazard ratio for mild inflammation is 2.07 (95% CI, 0.605-7.08; p=0.2), for moderate inflammation it is 4.47 (95% CI, 1.36,-14.69; p<0.05), and for severe inflammation it is 10.73 (95% CI, 3.65-31.27; p<0.0001) compared to the no inflammation group.

Conclusions: The observed prevalence of inflammation across the studied population suggests a prevailing inflammatory trend influenced by underlying medical conditions, social factors and the STEMI process itself. We suggest a noteworthy association between heightened systemic inflammation during the acute phase of STEMI and increased overall 30-day mortality risk in patients undergoing pPCI.
  • Cuellar, Jorge  ( Instituto Nacional de Cardiologia Ignacio Chavez , Tlalpan , Mexico City , Mexico )
  • Torres Ramirez, Perla Lizeth  ( Instituto Nacional de Cardiologia Ignacio Chavez , Tlalpan , Mexico City , Mexico )
  • Malchan, Eduardo  ( Instituto Nacional de Cardiologia Ignacio Chavez , Tlalpan , Mexico City , Mexico )
  • Araiza, Diego  ( Instituto Nacional de Cardiologia Ignacio Chavez , Tlalpan , Mexico City , Mexico )
  • Sierra Lara Martinez, Jorge Daniel  ( Instituto Nacional de Cardiologia Ignacio Chavez , Tlalpan , Mexico City , Mexico )
  • Briseño, Jose Luis  ( Instituto Nacional de Cardiologia Ignacio Chavez , Tlalpan , Mexico City , Mexico )
  • Gopar-nieto, Rodrigo  ( Instituto Nacional de Cardiologia Ignacio Chavez , Tlalpan , Mexico City , Mexico )
  • Arias, Alexandra  ( Instituto Nacional de Cardiologia Ignacio Chavez , Tlalpan , Mexico City , Mexico )
  • González Pacheco, Héctor  ( Instituto Nacional de Cardiologia Ignacio Chavez , Tlalpan , Mexico City , Mexico )
  • Author Disclosures:
    Jorge Cuellar: DO NOT have relevant financial relationships | Perla Lizeth Torres Ramirez: DO NOT have relevant financial relationships | Eduardo Malchan: DO NOT have relevant financial relationships | Diego Araiza: DO have relevant financial relationships ; Speaker:Boehringer Ingelheim:Active (exists now) ; Speaker:Viatris:Active (exists now) ; Speaker:Astra Zeneca:Active (exists now) ; Speaker:Novartis:Active (exists now) ; Speaker:Novo Nordisk:Active (exists now) ; Speaker:Adium:Active (exists now) | Jorge Daniel Sierra Lara Martinez: No Answer | Jose Luis Briseño: No Answer | Rodrigo Gopar-Nieto: DO NOT have relevant financial relationships | Alexandra Arias: DO have relevant financial relationships ; Speaker:Boehringer:Active (exists now) ; Speaker:bayer:Active (exists now) ; Speaker:bayer:Active (exists now) ; Speaker:servier:Active (exists now) ; Speaker:servier:Active (exists now) ; Speaker:roche:Active (exists now) ; Speaker:roche:Active (exists now) ; Speaker:novartis:Active (exists now) ; Speaker:novartis:Active (exists now) | Héctor González Pacheco: No Answer
Meeting Info:

Scientific Sessions 2024

2024

Chicago, Illinois

Session Info:

All Things STEMI

Saturday, 11/16/2024 , 02:00PM - 03:00PM

Abstract Poster Session

More abstracts on this topic:
A Contemporary Machine Learning-Based Risk Stratification for Mortality and Hospitalization in Heart Failure with Preserved Ejection Fraction Using Multimodal Real-World Data

Fudim Marat, Weerts Jerremy, Patel Manesh, Balu Suresh, Hintze Bradley, Torres Francisco, Micsinai Balan Mariann, Rigolli Marzia, Kessler Paul, Touzot Maxime, Lund Lars, Van Empel Vanessa, Pradhan Aruna, Butler Javed, Zehnder Tobias, Sauty Benoit, Esposito Christian, Balazard Félix, Mayer Imke, Hallal Mohammad, Loiseau Nicolas

A Meta-analysis of Folic Acid Supplementation Efficacy in Cardiovascular Diseases Prevention.

Calderon Martinez Ernesto, Camacho Davila Karen Fabiola, Pinto-colmenarez Rafael, Arruarana Victor, Arvelaez Pascucci Joanne, Castillo Jaqueline Livier, Alonso Ramirez Angie Carolina, Ghattas Patricia, Giron De Marza Maria, Sosaya Zuñiga Briggitte Solange, Martinez Lilan Jonathan David, Paredes Romero Enrique

More abstracts from these authors:
Impact of Timing on Outcomes in Rescue PCI for STEMI: Early vs. Late Intervention

Adib Gracia Anna Elisa, Ontiveros Mercado Heriberto, Arias Alexandra, Santiago Hernández Alberto, Neri Bale Raul Rodrigo, Cuellar Jorge, Gonzalez Macedo Eder, Diaz Braiana, Latapi Ruiz Esparza Ximena, Garcia Villarejo Mariana, Araiza Diego

Enhancing Care for Patients with ACS in Mexico: Impact of the Get With The Guidelines®-Coronary Artery Disease Mexico Project at the National Institute of Cardiology

Najera-rojas Andrea, Arias-mendoza Alexandra, Araiza Diego, Robles-ledesma Mariana, De Los Rios Manuel, Lugo Gavidia Leslie Marisol, Leiva Jose Luis, De Los Ríos Arce Luis Fernando, Gopar-nieto Rodrigo, Sierra Lara Martinez Jorge Daniel, González Pacheco Héctor

You have to be authorized to contact abstract author. Please, Login
Not Available