Logo

American Heart Association

  144
  0


Final ID: MDP1066

Adherence to Lipid Lowering Therapy among US Veterans with Atherosclerotic Cardiovascular Disease

Abstract Body (Do not enter title and authors here): Introduction/Background: US Veterans experience a high burden of cardiovascular disease (CVD). Improved adherence to lipid-lowering therapy (LLT) is strongly associated with reducing low-density lipoprotein cholesterol (LDL-C), which has the potential to reduce morbidity and mortality among Veterans with atherosclerotic cardiovascular disease (ASCVD).

Goals/Aims: To describe adherence to statin and non-statin LLT among US Veterans with ASCVD.

Methods/Approach: Using Veterans’ Health Administration (VHA) electronic health records from January 1, 2003, to December 31, 2019, we identified regular users of the VHA who were on at least one LLT within 12-months after ASCVD diagnosis. ASCVD diagnosis was identified using ICD9/10 and Current Procedural Terminology codes. Medication possession ratio (MPR) was calculated as the sum of days’ supply for all fills of a given LLT during 12-, 24-, and 36-month follow-up, divided by the number of days in the follow-up period. Medication adherence was defined as MPR ≥ 0.80.

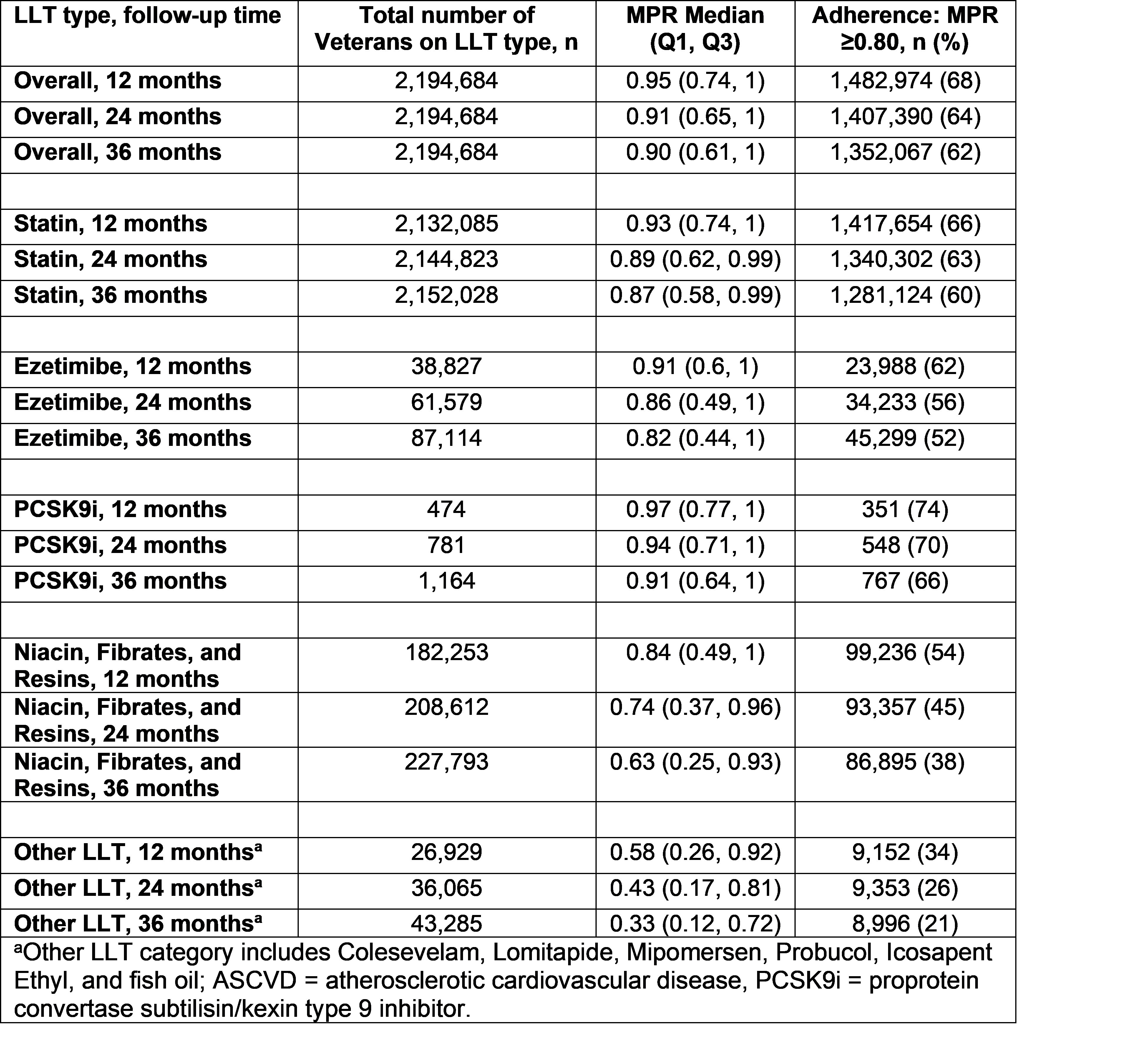
Results/Data (descriptive and inferential statistics): The total number of Veterans on an LLT within 12-months after ASCVD diagnosis was 2,194,684 [mean (SD) age=68 (10) years, 98% male, and 75% white race]. Overall proportion of patients who were adherent to LLT was 68%, 64%, and 62%, at 12-, 24-, and 36-months post ASCVD diagnosis, respectively (Table).

Conclusion(s): Suboptimal adherence to LLT was observed in one third of US Veterans with ASCVD. Adherence rates were highest in the first 12 months post ASCVD diagnosis. Future studies are needed to understand factors contributing to low and declining LLT adherence over time among Veterans.
  • Ward, Rachel  ( VA Boston Healthcare System , Willow Spring , North Carolina , United States )
  • Gaziano, Michael  ( VA Boston Healthcare System , Willow Spring , North Carolina , United States )
  • Wellman, Helen  ( Veterans Health Administration , Chelmsford , Massachusetts , United States )
  • Yel, Nedim  ( Boston VA Research Institute , Wrentham , Massachusetts , United States )
  • Young, Melissa  ( Boston VA Healthcare System , Boston , Massachusetts , United States )
  • Coleman-lopez, Mason  ( Boston VA Research Institute , Wrentham , Massachusetts , United States )
  • Niu, Xiaoli  ( Novartis Pharmaceuticals , Wellesley , Massachusetts , United States )
  • Mcelligott, Sean  ( Novartis , Doylestown , Pennsylvania , United States )
  • Gagnon, David  ( VA Boston Healthcare System , Willow Spring , North Carolina , United States )
  • Djousse, Luc  ( MGB and Harvard University , Boston , Massachusetts , United States )
  • Author Disclosures:
    Rachel Ward: DO have relevant financial relationships ; Researcher:Novartis:Active (exists now) | Michael Gaziano: No Answer | Helen Wellman: DO have relevant financial relationships ; Researcher:Novartis:Active (exists now) | Nedim Yel: DO NOT have relevant financial relationships | Melissa Young: DO NOT have relevant financial relationships | Mason Coleman-Lopez: DO NOT have relevant financial relationships | Xiaoli Niu: DO have relevant financial relationships ; Employee:Novartis:Active (exists now) | Sean McElligott: DO have relevant financial relationships ; Employee:Novartis:Active (exists now) ; Employee:Johnson and Johnson:Past (completed) ; Employee:Merck:Past (completed) ; Employee:Sanofi:Past (completed) | David Gagnon: No Answer | Luc Djousse: DO have relevant financial relationships ; Research Funding (PI or named investigator):Alliance for Potato Research & Education:Active (exists now) ; Research Funding (PI or named investigator):US Highbush Blueberry Council:Active (exists now) ; Research Funding (PI or named investigator):Novartis:Active (exists now)
Meeting Info:

Scientific Sessions 2024

2024

Chicago, Illinois

Session Info:

Prescription Precision: Enhancing Medication Adherence in Cardiovascular Disease Management

Sunday, 11/17/2024 , 11:10AM - 12:35PM

Moderated Digital Poster Session

More abstracts on this topic:
4-Phenylbutyric Acid Reduces Endoplasmic Reticulum Retention and Partially Restores Function of LDLR p.D622N Mutation In Vitro: A Potential Therapy for Hypercholesterolemia

Wang Yongxiang, Zhang Piyi, Bai Ming, Zhang Zheng

A Novel CRISPR based Epigenetic Silencer Potently, Durably, and Safely Reduces LDLc in Non-Human Primates at Therapeutically Relevant Doses

Duncan-lewis Christopher, Narsineni Lokesh, Karmarkar Maitreyee, Li Yuexuan, Krupa Oleh, Bucher Simon, Sharma Neel, Chang Han, Schulwach Keith, Ripley-phipps Sterling, Tran Vanessa, Fernandes Jason, Goh Natalie, Deiter Fred, Reimer Kirsten, Mrak Anna, Eggers Michelle, Sze Christie, Mirotsou Maria, Oresic Bender Kristina, Bardai Farah, Denny Sarah, Charles Emeric, Khakoo Aarif, Oakes Benjamin, Keller Steven, Alcantara-lee Raniel, Santamaria Carlos, Bale Shyam Sundhar, Kozy Heather, Corbo Lana

More abstracts from these authors:
A Novel Approach to Manage Hypercholesterolemia: The Veterans Affairs Lipid Optimization Reimagined Quality Improvement (VALOR-QI) Program

Djousse Luc, Leesch Tharen, Pena David, Gaziano Michael, Ward Rachel, Wellman Helen, Yel Nedim, Santos Abigail, Delgrande Jen, Fink Abigail, Colson Kristin, Pan Eddie

Six-month Changes in Lipid Management in the Veterans Affairs Lipid Optimization Reimagined Quality Improvement (VALOR-QI) Program

Ward Rachel, Leesch Tharen, Peña David, Congdon Michelle, Burlison Kelly, Djousse Luc, Gaziano John Michael, Wellman Helen, Yel Nedim, Coleman-lopez Mason, Santos Abigail, Delgrande Jen, Fink Abigail, Colson Kristin, Pan Eddie

You have to be authorized to contact abstract author. Please, Login
Not Available