Logo

American Heart Association

  105
  0


Final ID: Sa3027

Safety and Efficacy of Antisense Oligonucleotides On Triglyceride and Apolipoprotein C-III Levels in Hypertriglyceridemia; A Network Meta-Analysis Of Randomized Controlled Trials

Abstract Body (Do not enter title and authors here): Background
Hypertriglyceridemia is an independent risk factor for cardiovascular diseases. Apolipoprotein C-III (APOC3) inhibition through the antisense oligonucleotides volanesorsen, olezarsen, and plozasiran, reduced triglycerides in the previous trials. However, the safety and efficacy of the three medications have not been compared yet.

Methods
A network meta-analysis was performed to compare multiple doses of the three medications to each other through the placebo. Nine randomized controlled trials (RCTs) were retrieved by searching PubMed, EMBASE, Web of Science, SCOPUS, and Cochrane. The mean difference (MD) and 95% confidence interval (CI) were used for continuous outcomes. The risk ratio (RR) and 95% CI were used for dichotomous outcomes.

Results
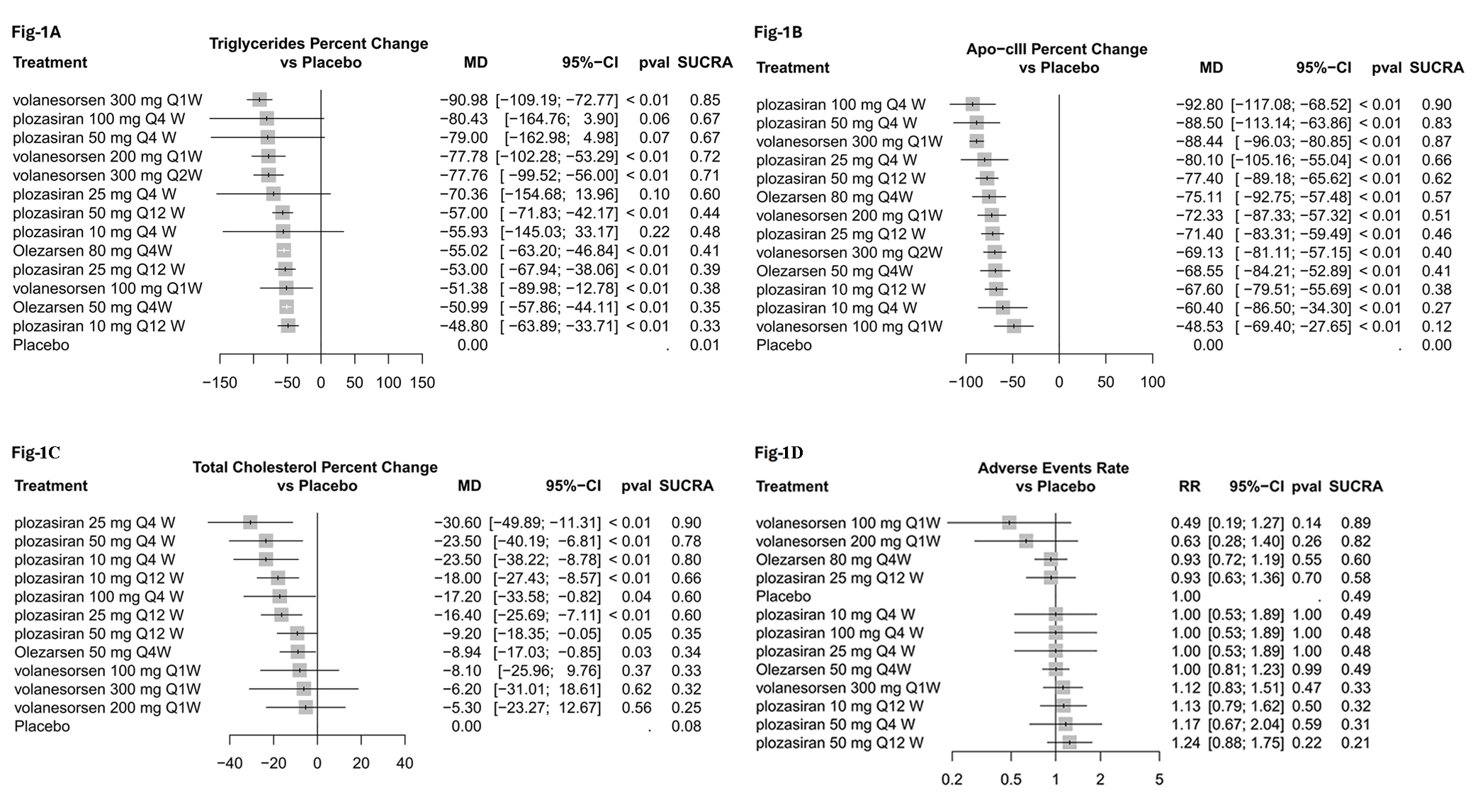
A total of 782 patients were included. Volanesorsen 300 mg once weekly showed the most significant reduction in triglyceride levels (MD = -90.98%, 95% CI: [-109.2%; -72.8%]; p<0.01). Only plozasiran once monthly, regardless of the dose, showed a non-significant reduction in triglycerides, which should be taken with caution as the data were derived from a phase 1 trial with a small sample size. All the regimens significantly reduced APOC3 levels compared to placebo with plozasiran 100 mg and 50 mg once monthly and volanesorsen 300 mg once weekly, showing the most significant reduction (MD range: -92.8% to -88.4%; p<0.01). Plozasiran regimens, especially the 25 mg, 50 mg, and 10 mg once monthly dosages, respectively, reduced total cholesterol levels the most compared to placebo (MD range: -30.6% to -23.5%; p<0.01). Only volanesorsen, regardless of the dose, did not significantly reduce total cholesterol compared to placebo. None of the treatments showed a statistically significant difference in the adverse events rate compared to placebo.

Conclusion
APOC3 antisense oligonucleotide inhibitors effectively reduced triglyceride, APOC3, and total cholesterol levels in hypertriglyceridemia, with an acceptable safety profile. However, due to the relatively small sample size, the results should be interpreted with caution. Further research is needed to confirm the beneficial effects of APOC3 inhibitors and provide strong evidence on the effects of each medication regimen.
  • Abdelsayed, Kerollos  ( Aswan Heart Centre, Magdi Yacoub Foundation , Aswan , Aswan , Egypt )
  • Abdelazeem, Basel  ( West Virginia University , Morgantown , West Virginia , United States )
  • Mahmoud, Abdelrahman  ( Minia universiy , Minia, Egypt , Egypt )
  • Najah, Qasi  ( Faculty of Medicine, Elmergib University , Alkhums , Libya )
  • Almahdy Mohamed, Ahmed  ( University of Minnesota Twin Cities , St Paul , Minnesota , United States )
  • Abdulkader, Anas  ( Faculty of Medicine, AlMaarefa University , Riyadh , Saudi Arabia )
  • Ali, Karim  ( Hennepin Healthcare , Minneapolis , Minnesota , United States )
  • Tabassum, Shehroze  ( King Edward Medical University , Faisalabad , Pakistan )
  • Abouzid, Mohamed  ( Baptist Hospital of Southeast Texas , Beaumont , Texas , United States )
  • Banour, Sandi  ( ruby hospital , Morgantown , West Virginia , United States )
  • Author Disclosures:
    Kerollos Abdelsayed: DO NOT have relevant financial relationships | Basel Abdelazeem: DO NOT have relevant financial relationships | Abdelrahman Mahmoud: DO NOT have relevant financial relationships | Qasi Najah: DO NOT have relevant financial relationships | Ahmed Almahdy Mohamed: DO NOT have relevant financial relationships | Anas Abdulkader: DO NOT have relevant financial relationships | Karim Ali: DO NOT have relevant financial relationships | Shehroze Tabassum: DO NOT have relevant financial relationships | Mohamed Abouzid: DO NOT have relevant financial relationships | Sandi Banour: DO NOT have relevant financial relationships
Meeting Info:

Scientific Sessions 2024

2024

Chicago, Illinois

Session Info:

Novel Glycemic and Lipid Lowering Therapies

Saturday, 11/16/2024 , 02:00PM - 03:00PM

Abstract Poster Session

More abstracts on this topic:
A Model-Sharing Approach for Quality Improvement of Diabetes and Cardiovascular Disease

Elligers Kyle, Pollner Meghan, Overton Katherine, Congdon Michelle, Greenway Stacey, Lambro Patricia, Sadiku Steven, Schechter Rona, Whelan John, Pressley Bianca, Sednew Renee, Duckett Sara

Association Between Elevated Lipoprotein(a) and New-Onset Atrial Fibrillation: A Retrospective Analysis Using the TriNetX Research Network

Qadeer Abdul, Akbar Usman, Ahmed Faizan, Shabbir Muhammad Raffey, Aamir Muhammad, Fouad Michele, Khan Allahdad, Khawar Muneeb, Pathak Prutha, Hassan Furqan, Hotwani Priya, Khan Sardar Muhammad Imran, Shafique Nouman

More abstracts from these authors:
Clopidogrel plus aspirin vs. aspirin alone in patients with minor to moderate strokes within ≤ 72 hours onset. A meta-analysis of randomized controlled trials.

Mahmoud Abdelrahman, Elfil Mohamed, Abdelsayed Kerollos, Amin Ahmed Mazen, Ramadan Mohamed, Ahmed Ali Ashraf Salah, S.a Osman Ahmed, Banour Sandi, Abdelazeem Basel

Evaluating Perioperative Colchicine's Influence On New-Onset Heart Block After Transcatheter Aortic Valve Implantation: A US Multicenter Retrospective Analysis

Abdelsayed Kerollos, Amer Basma, Fouad Michele, Elfert Khaled, Thangjui Sittinun, Banour Sandi, Abdelazeem Basel

You have to be authorized to contact abstract author. Please, Login
Not Available