Logo

American Heart Association

  178
  0


Final ID: MDP1075

Developing normal values for pulse wave velocity in healthy young people

Abstract Body (Do not enter title and authors here): Background
A high prevalence of cardiovascular disease (CVD) globally prompts the necessity of a surrogate marker to identify CVD development at the subclinical stage. Observation of early alterations to the vasculature has proven to be beneficial in identifying adults who have an increased risk of CVD. Hence, utilizing vascular ageing as an effective, non-invasive, subclinical marker in assessing cardiovascular risk in young people could be promising for the reduction of CVD incidence. Pulse wave velocity (PWV) is a marker of vascular ageing, and even though the importance of PWV in cardiovascular health assessment in adults has been established, to use it routinely to evaluate young people at risk, normal values need to be determined. The Youth Vascular Consortium (YVC) is an international collaborative that was established to comprehensively investigate vascular ageing with a range of measures among young people. This study aimed to develop normal values for PWV measured by commonly used devices among healthy young people using data from the YVC.
Methods
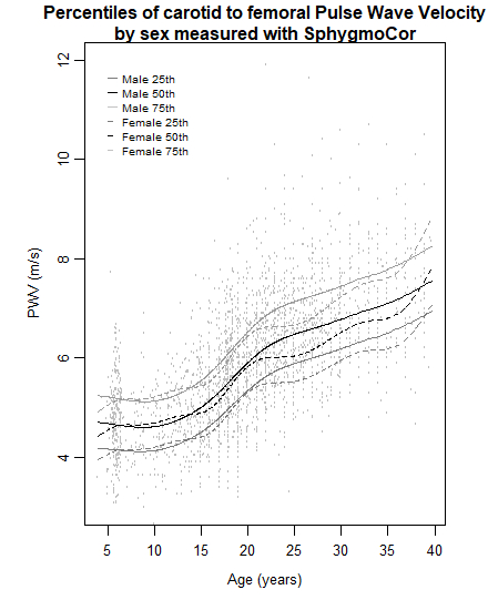
This retrospective study included data on demographics, anthropometric, biochemical and vascular ageing measures collected from participants aged 1 to 40 years. Generalised additive models were used to derive percentile curves for the PWV data by age. Observed and predicted percentiles at years of age were reported by sex, geographical region and device.
Results
The YVC collected data on 36,973 participants from 24 countries across five different regions. Of these, 19,018 participants (mean age = 17 years, 51% female, 71% European) were classified as healthy based on their systolic and diastolic blood pressure, serum glucose, serum cholesterol and body mass index. Six devices were used to measure PWV (30% SphygmoCor). Device-specific percentile curves for PWV against age were constructed and an increasing trend in PWV was identified with age for both males and females.
Conclusion
This study provided normal values for PWV measured with six different devices for young people as age and sex-specific percentile curves. These curves may be applied clinically to identify young people with impaired vascular ageing and thus, those who may be at risk of overt CVD.
  • Kodithuwakku, Vimarsha  ( University of Tasmania , Moonah , Tasmania , Australia )
  • Breslin, Monique  ( University of Tasmania , Moonah , Tasmania , Australia )
  • Hersant, Jeanne  ( University of Angers , Angers , France )
  • Bruno, Rosa  ( Université de Paris Cité , Paris , France )
  • Boutouyrie, Pierre  ( Université de Paris Cité , Paris , France )
  • Urbina, Elaine  ( Cincinnati Children's Hospital Medical Center , Cincinnati , Ohio , United States )
  • Gall, Seana  ( University of Tasmania , Moonah , Tasmania , Australia )
  • Climie, Rachel  ( University of Tasmania , Moonah , Tasmania , Australia )
  • Author Disclosures:
    Vimarsha Kodithuwakku: DO NOT have relevant financial relationships | Monique Breslin: DO have relevant financial relationships ; Consultant:Gilead:Active (exists now) | Jeanne Hersant: DO NOT have relevant financial relationships | Rosa Bruno: No Answer | Pierre Boutouyrie: DO NOT have relevant financial relationships | Elaine Urbina: DO NOT have relevant financial relationships | Seana Gall: DO NOT have relevant financial relationships | Rachel Climie: DO NOT have relevant financial relationships
Meeting Info:

Scientific Sessions 2024

2024

Chicago, Illinois

Session Info:

Assessing Cardiovascular Disease Risk in Young Adults: Strategies, Challenges, and Innovations

Sunday, 11/17/2024 , 03:15PM - 04:20PM

Moderated Digital Poster Session

More abstracts on this topic:
A RETRO-ENANTIOMER OF ANGIOTENSIN-(1-9) PREVENTS THE DEVELOPMENT OF HEART FAILURE WITH PRESERVED EJECTION FRACTION.

Ocaranza Maria Paz, Jimenez Veronica, Yanez Osvaldo, Jalil Jorge, Venegas Camilo, Candia Camila, Hermoso Marcela, Gabrielli Luigi, Morales Javier, Oyarzun Felipe, Torres Cristian, Lillo Pablo

A multi-proteomic Risk Score Predicts Adverse Cardiovascular Outcomes in Patients with Angina and Non-obstructive Coronary Artery Disease

Huang Jingwen, Lodhi Rafia, Lodhi Saleha, Eldaidamouni Ahmed, Hritani Wesam, Hasan Muhammet, Haroun Nisreen, Quyyumi Arshed, Mehta Puja, Leon Ana, Ko Yi-an, Yang Huiying, Medina-inojosa Jose, Ahmed Taha, Harris Kristen, Alkhoder Ayman, Al Kasem Mahmoud

You have to be authorized to contact abstract author. Please, Login
Not Available