Logo

American Heart Association

  189
  0


Final ID: Mo2146

Classifying Left Ventricular Hypertrophy from ECG in Overall Population and Bundle Branch Blocks: Machine Learning Models are Superior to Published ECG Criteria

Abstract Body (Do not enter title and authors here): Background: Published ECG criteria for left ventricular hypertrophy (LVH) have low diagnostic yield, esp. with right/left bundle branch block (RBBB/LBBB). Machine learning (ML) may improve LVH classification.
Hypothesis: ML performs better than published LVH criteria to classify LVH from ECG in overall population, and subgroups of RBBB/LBBB.
Methods: In addition to standard ECG features like rates, intervals, axis etc., R, S and overall QRS amplitudes, and voltage-time-integrals were extracted from standard 12 leads and reconstructed vectorcardiographic X, Y, Z lead representative beats. Further, a variational autoencoder was used to extract latent encodings from the representative beats. ML algorithms (logistic regression, random forest, light gradient boosted machine, multilayered perceptron, residual network, and convolutional neural network) were trained to predict LVH (LV mass index women >95, men >115 g/m2) from ECG features on a training set of adult ECGs and echocardiogram within 45 days of each other (general population N=240,476, RBBB n=22,110, LBBB n=12,563). We obtained ROC AUCs in a separate validation set for LVH classification by (a) individual ECG variables, (b) published LVH criteria and (c) ML models.
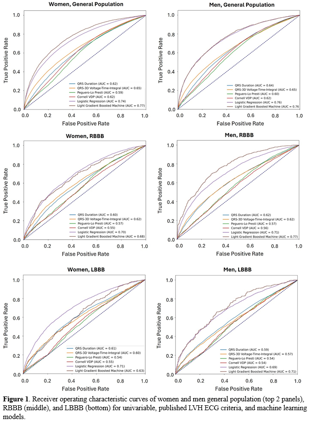
Results: As shown in Tables 1-2 and Figure 1, for LVH classification among the validation sets, AUCs were highest for ML models, intermediate for univariable models and least for published criteria (best ML model vs. best criteria: general population women 0.77 vs. 0.63, men 0.78 vs. 0.63; RBBB women 0.70 vs. 0.57, men 0.77 vs. 0.57; LBBB women 0.71 vs. 0.55, men 0.72 vs. 0.54).
Conclusions: ML models perform better than published LVH criteria at classifying LVH from ECG in overall population, RBBB and LBBB.
  • Debauge, Ashley  ( Washington University in St. Louis , Saint Louis , Missouri , United States )
  • Harvey, Christopher  ( University of Kansas Medical Center , Kansas City , Kansas , United States )
  • Gupta, Amulya  ( University of Kansas Medical Center , Kansas City , Kansas , United States )
  • Noheria, Amit  ( University of Kansas Medical Center , Kansas City , Kansas , United States )
  • Author Disclosures:
    Ashley DeBauge: DO NOT have relevant financial relationships | Christopher Harvey: No Answer | Amulya Gupta: DO NOT have relevant financial relationships | Amit Noheria: DO NOT have relevant financial relationships
Meeting Info:

Scientific Sessions 2024

2024

Chicago, Illinois

Session Info:

Insight Into Electrophysiologic Realities Gained From the ECG

Monday, 11/18/2024 , 01:30PM - 02:30PM

Abstract Poster Session

More abstracts on this topic:
Association between small pre-implant left ventricular end diastolic diameter and post left ventricular assist device implantation all-cause mortality: A systematic review and meta-analysis

Pingili Adhvithi, Feller Erika, Vadiyala Mounika Reddy, Anmol Kumar, Jain Muskan, Varghese Jeffy Susan, Ahluwalia Vibhor, Prajapati Kesar, Chalasani Vardhan, Desai Rupak

3D Statistical Shape Analysis Predicts Type A Aortic Dissection Better Than Aortic Diameters

Marway Prabhvir, Campello Jorge Carlos Alberto, Wagner Catherine, Baker Timothy, Burris Nicholas

More abstracts from these authors:
ECG correlates of chronic right ventricular pacing: QT interval predicts pacing-induced cardiomyopathy while QRS duration predicts cardiac resynchronization therapy response

Gupta Amulya, Shahab Ahmed, Harvey Christopher, Sheldon Seth, Reddy Madhu, Noheria Amit

Learning Curve for Left Bundle Branch Area Pacing Lead Implantation

Clark Maci, Zerr Hannah, Ose Benjamin, Fritz David, Trupp Caroline, Gupta Amulya, Shahab Ahmed, Noheria Amit, Sheldon Seth

You have to be authorized to contact abstract author. Please, Login
Not Available