Logo

American Heart Association

  120
  0


Final ID: Su3042

REDUCING THE USE OF TRANSESOPHAGEAL ECHOCARDIOGRAM PRIOR TO CARDIOVERSION USING MACHINE LEARNING

Abstract Body (Do not enter title and authors here): Introduction/Background: Direct current cardioversion (DCC) is used to terminate atrial fibrillation and atrial flutter. Due to increased stroke risk post DCC, a transesophageal echocardiogram (TEE) is performed in selected patients to rule out left atrial appendage thrombus (LAAT) prior to DCC. The prevalence of LAAT is around 2.5% in the era of direct oral anticoagulants. This is a large proportion of patients with no LAAT on TEE and calls for strategies to improve patient selections for TEE before DCC.
Research Questions/Hypothesis: In this study we aimed to determine if the use of machine learning could accurately predict the presence of LAAT among patients with nonvalvular atrial fibrillation and atrial flutter.
Methods/Approach: We collected demographic, comorbid, and transthoracic echocardiographic data on 795 patients who underwent TEE prior to DCC for nonvalvular atrial fibrillation and atrial flutter. We developed and validated an explainable machine learning model using the eXtreme Gradient Boosting algorithm with 5x5 nested cross-validation. The algorithm used 37 variables to predict the probability of LAAT.
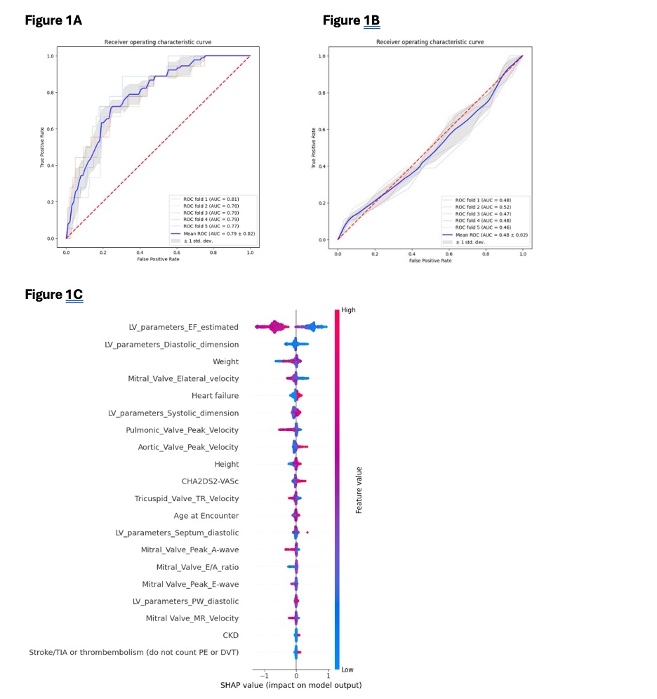
Results/Data: The prevalence of LAAT in our cohort was 11.3%. Our model achieved an area under the curve (AUC) of 0.79 in predicting LAAT, figure 1A. In comparison, CHA2DS2-VASc score performed poorly in our cohort with an AUC of 0.48, figure 1B. The ranking of variables most strongly predictive of LAAT is shown in figure 1C, with left ventricle ejection fraction as the most instrumental.
Patients were categorized into 10 groups based on the percentile of their predicted probability of having a thrombus. A lower percentile (e.g., 10%) indicates a lower probability of having a thrombus. By utilizing a cutoff point of 0.16, which includes 10.0% of the patients, we can exclude the presence of thrombus with 100% certainty.
Conclusion: Machine learning, compared to traditional risk scores, offers enhanced predictive model for identifying LAAT and provides better guidance for TEE and anticoagulation therapy before DCC.
  • Meisel, Emily  ( University of Florida College of Medicine , Gainesville , Florida , United States )
  • Naik, Dhaval  ( University of Florida College of Medicine , Gainesville , Florida , United States )
  • Mardini, Mamoun  ( University of Florida College of Medicine , Gainesville , Florida , United States )
  • Ruzieh, Mohammed  ( University of Florida College of Medicine , Gainesville , Florida , United States )
  • Frechette, Reece  ( University of Florida College of Medicine , Gainesville , Florida , United States )
  • Kramer, Ethan  ( University of Florida College of Medicine , Gainesville , Florida , United States )
  • Bai, Chen  ( University of Florida College of Medicine , Gainesville , Florida , United States )
  • Nassereddin, Ali  ( University of Florida College of Medicine , Gainesville , Florida , United States )
  • Smoot, Madeline  ( University of Florida College of Medicine , Gainesville , Florida , United States )
  • Edwards, Emily  ( University of Florida College of Medicine , Gainesville , Florida , United States )
  • Kurup, Varsha  ( University of Florida College of Medicine , Gainesville , Florida , United States )
  • Naccarelli, Gerald  ( PS MS Hershey Med Ctr , Hershey , Pennsylvania , United States )
  • Author Disclosures:
    Emily Meisel: DO NOT have relevant financial relationships | Dhaval Naik: DO NOT have relevant financial relationships | Mamoun Mardini: DO NOT have relevant financial relationships | Mohammed Ruzieh: DO NOT have relevant financial relationships | Reece Frechette: DO NOT have relevant financial relationships | Ethan Kramer: DO NOT have relevant financial relationships | Chen Bai: DO NOT have relevant financial relationships | Ali Nassereddin: DO NOT have relevant financial relationships | Madeline Smoot: DO NOT have relevant financial relationships | Emily Edwards: DO NOT have relevant financial relationships | Varsha Kurup: DO NOT have relevant financial relationships | Gerald Naccarelli: No Answer
Meeting Info:

Scientific Sessions 2024

2024

Chicago, Illinois

Session Info:

AI at Heart: Revolutionizing Cardiovascular Imaging

Sunday, 11/17/2024 , 11:30AM - 12:30PM

Abstract Poster Session

More abstracts on this topic:

4-5 Years Outcomes of Left Atrial Appendage Closure vs. Oral Anticoagulants in Atrial Fibrillation: A Systematic Review and Meta-Analysis:

Khan Muhammad Aslam, Haider Taimoor, Bhattarai Shraddha, Afzal Hafsa, Khan Bilal, Muhammad Anza, Shafique Nouman, Bhatia Hitesh, Aafreen Asna, Adil Abid Nawaz Khan, Akbar Usman, Khan Alamzaib, Haider Muhammad Adnan

Comparison of Cavotricuspid Isthmus Ablation Using Pulsed Field Versus Radiofrequency Energy in Patients Undergoing Pulmonary Vein Isolation with Pulsed Field Ablation

Vemulapalli Hema Srikanth, Rodriguez-riascos Juan, Kim James, Fatunde Olubadewa, Muthu Padmapriya, Prajapati Poojan, Srivathsan Komandoor

More abstracts from these authors:
Gender, Racial, and Ethnic Variations in the Disposition of Chest Pain Patients in the Emergency Department

Waples Michelle, Kramer Ethan, Rezk Rogina, Meisel Emily, Abchee Nicolas, Allen Brandon, Ruzieh Mohammed

Sex-Based Disparities in the Care of Syncope Patients in the United States Using a National Database

Devaguptapu Priyanka, Bai Chen, Petersen John, Smoot Madeline, Edwards Emily, Kamisetty Sujay, Mardini Mamoun, Ruzieh Mohammed

You have to be authorized to contact abstract author. Please, Login
Not Available