Logo

American Heart Association

  157
  0


Final ID: 4136621

Efficacy of Empagliflozin in Heart Failure with Preserved Ejection Fraction is related to the presence of echocardiographic features of diastolic dysfunction in the EMPEROR-Preserved trial.

Abstract Body (Do not enter title and authors here): Introduction
Efficacy of SGLT2i empagliflozin in Heart Failure is seen across the LVEF spectrum and in multiple clinical subgroups, with diverse mechanisms of action. We hypothesized that objective echo evidence of diastolic dysfunction (DD) in HFpEF may predict the response to empagliflozin.
Methods
We defined DD as the presence of LAVI ≥34 mL/m2, E/e ≥13 or LVMi >115 (males) or >95 (females) and created three categories with 0, 1 or ≥2 DD criteria. We report the impact of baseline DD on response to empagliflozin therapy and adverse effects.
Analyses were performed using the intention-to-treat principle. For time-to-first-event analyses, differences in treatment effects across the three DD categories were assessed by a Cox proportional hazards model, with pre-specified covariates of age, gender, region, diabetes, LVEF, and eGFR. Total events were assessed using a joint frailty model, with CV death (CVD) as a competing risk.
Results
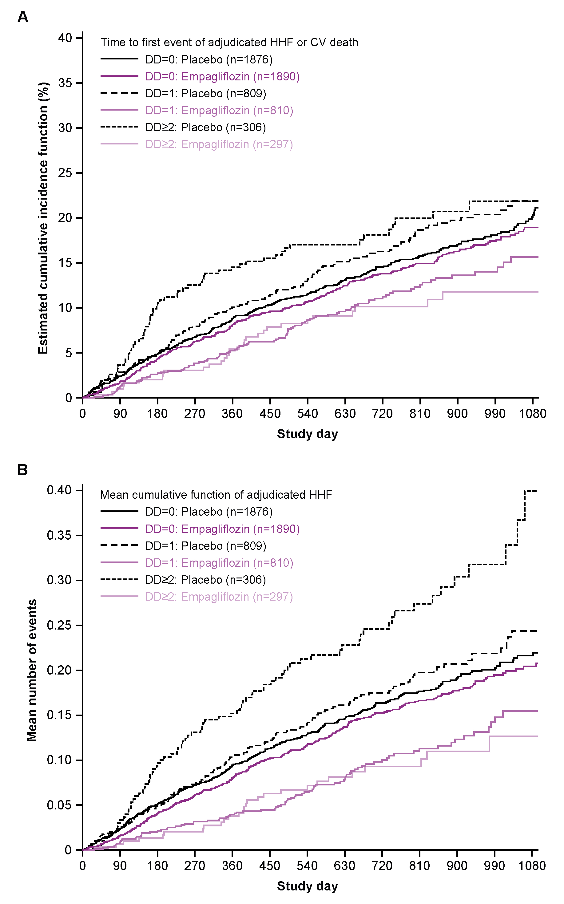
Of 5988 patients in EMPEROR-Preserved 3766 (63%) had no baseline DD, 1619 (27%) one and 603 (10%) ≥2 measures. The percentage of males decreased as DD category increased, 57.2% for none, 54.2% for one and 46.6% for ≥2, p <0.0001. Other demographic features significantly associated with DD categories were race, ethnicity and region and it was more common with age, with lower HR, DBP, body weight and eGFR. DD was more frequent with ischaemic aetiology and higher LVEF, but not with baseline NT−proBNP, DM or COPD. Time to HHF or CVD showed a progressive treatment effect across the three DD categories (interaction p-value 0.0014), with estimated HR’s of 0.91 (none present), 0.64 (1 present) and 0.49 (>=2). A significant treatment-by-subgroup interaction was also observed for the total number of HHF, with estimated HR’s of 0.95 (none present), 0.52 (1 present) and 0.29 (≥2).
In the responder analysis, ≥10 point improvement in KCCQ at week 52 showed a treatment induced change that was consistent across DD categories (interaction p-value 0.92). The safety profile was consistent across DD classes.
Conclusions
Baseline echocardiographic DD predicted an improved clinical response to Empagliflozin in a graded fashion, suggesting the mode of action may target specific changes in diastolic performance.
  • Coats, Andrew  ( Heart Research Institute , Newtown, Sydney , New South Wales , Australia )
  • Butler, Javed  ( Baylor Scott and White Research Institute , Dallas , Texas , United States )
  • Zimmet, Hendrik  ( Heart Research Institute , Sydney , New South Wales , Australia )
  • Anker, Stefan  ( German Heart Center Charité , Berlin , Germany )
  • Author Disclosures:
    Andrew Coats: DO have relevant financial relationships ; Speaker:Boehringer Ingelheim:Active (exists now) ; Speaker:Novartis:Active (exists now) ; Speaker:Astra Zeneca:Active (exists now) | Javed Butler: DO have relevant financial relationships ; Consultant:Abbott, American Regent, Amgen, Applied Therapeutic,:Active (exists now) ; Speaker:Novartis, Boehringer Ingelheim-Lilly, Astra Zeneca, Impulse Dynamics, Vifor:Active (exists now) ; Consultant:Sequana, SQ Innovation, Tenex, Tricog, Ultromics, Vifor, and Zoll:Active (exists now) ; Consultant:Roche, Salamandra, Sanofi, SC Pharma, Secretome,:Active (exists now) ; Consultant:Pharmain, Pfize, Prolaio, Regeneron, Renibus,:Active (exists now) ; Consultant:Novartis, Novo Nordisk, Pfizer, Pharmacosmos,:Active (exists now) ; Consultant:Janssen, Medtronics, Merck, Occlutech, Owkin,:Active (exists now) ; Consultant:Inventiva, Ionis, Lexicon, Lilly, LivaNova,:Active (exists now) ; Consultant:Innolife, Impulse Dynamics, Imbria,:Active (exists now) ; Consultant:Faraday, Foundry, G3P,:Active (exists now) ; Consultant:Daxor, Edwards, Element Science,:Active (exists now) ; Consultant:Cardiorem, CSL Bearing, CVRx, Cytokinetics:Active (exists now) ; Consultant:Bristol Myers Squibb, Cardiac Dimension, Cardiocell, Cardior,:Active (exists now) ; Consultant:Bayer, Boehringer Ingelheim, Boston Scientific,:Active (exists now) ; Consultant:AskBio, Astellas, AstraZeneca,:Active (exists now) | Hendrik Zimmet: No Answer | Stefan Anker: DO have relevant financial relationships ; Consultant:Actimed, Astra Zeneca, Bayer, Bioventrix, Boehringer Ingelheim, Brahms, Cardiac Dimensions, Cardior, Cordio, CVRx, Cytokinetics, Edwards, Farraday Pharmaceuticals, GSK, Impulse Dynamics, Lilly, Mankind, Medtronic, Novartis, Novo Nordisk, Occlutech, Pfizer, Regeneron, Relaxera, Repairon, Scirent, Sensible Medical, Servier, Vectorious, and V-Wave:Active (exists now) ; Other (please indicate in the box next to the company name):Named co-inventor of two patent applications regarding MR-proANP (DE 102007010834 & DE 102007022367), but he does not benefit personally from the related issued patents:Active (exists now) ; Research Funding (PI or named investigator):from Vifor and Abbott Laboratories.:Active (exists now)
Meeting Info:

Scientific Sessions 2024

2024

Chicago, Illinois

Session Info:

Latest and Greatest in the Medical Management of Heart Failure

Monday, 11/18/2024 , 01:30PM - 02:45PM

Abstract Oral Session

More abstracts on this topic:
4-Hydroxy-2-Nonenal Alters Alternative Polyadenylation to Regulate mRNA Isoform Diversity in the Transition from Human Cardiac Fibroblasts to Myofibroblasts

Natarajan Kartiga, Neupane Rahul, Yalamanchili Hari Krishna, Palaniyandi Suresh, Wagner Eric, Guha Ashrith, Amirthalingam Thandavarayan Rajarajan

Association between SGLT2 inhibitors and risk of Dementia and Parkinson’s Disease: A Meta-analysis of 12 Randomized Controlled Trials.

Jaiswal Vikash, Mashkoor Yusra, Jaiswal Akash, Raj Nishchita, Rajak Kripa, Fonarow Gregg

You have to be authorized to contact abstract author. Please, Login
Not Available