Logo

American Heart Association

  93
  0


Final ID: MDP312

Prognostic Value of NT-proBNP and the H2FPEF Score on Empagliflozin-associated Left Ventricular Remodeling: Insights from the EMPA-HEART and EMPA-HEART 2 CardioLink Trial

Abstract Body (Do not enter title and authors here): Background: NT-proBNP is a prognostic and diagnostic marker for heart failure while the H2FPEF score is used to aid in diagnosing heart failure with preserved ejection fraction.

Aims: These post hoc analyses of the randomized controlled EMPA-HEART CardioLink-6 and EMPA-HEART 2 CardioLink-7 trials examined how baseline NT-proBNP and the H2FPEF score influenced empagliflozin-associated left ventricular (LV) remodeling in people with either type 2 diabetes and coronary artery disease or without diabetes but with cardiovascular risk factors.

Methods: A total of 242 participants were assigned to either empagliflozin 10 mg QD (n=118) or placebo (n=124) for 6 months. NT-proBNP was measured and cardiac MRI performed at baseline and end-of-study. Two independent analyses were performed. One divided the participants into those with baseline NT-proBNP < and ≧125 pg/mL and the other into those with H2FPEF score ≦2 and ≧3. The relationships between empagliflozin-associated LV mass and functional changes with baseline NT-proBNP and H2FPEF scores were assessed with linear models that adjusted for baseline differences (ANCOVA).

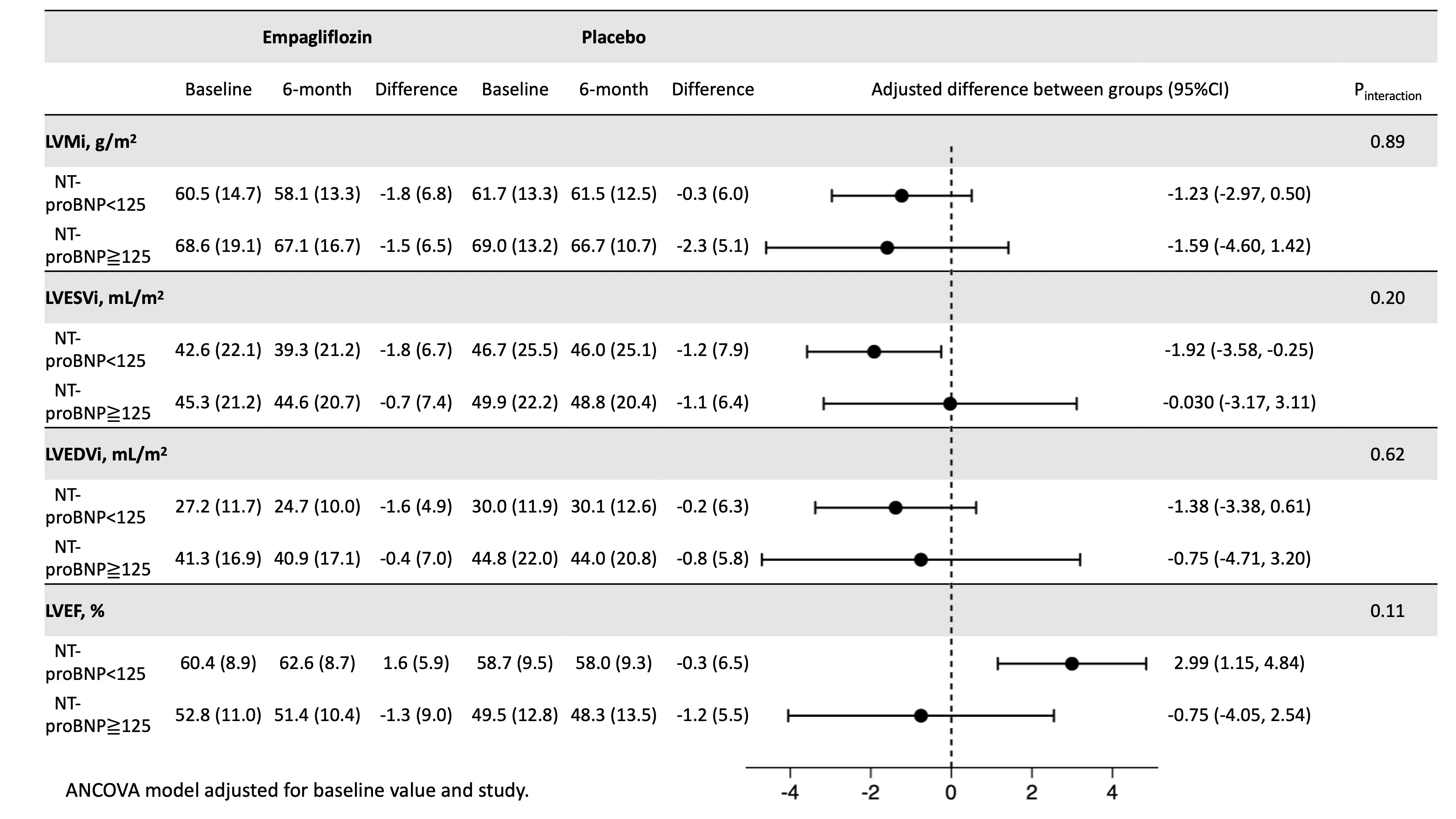
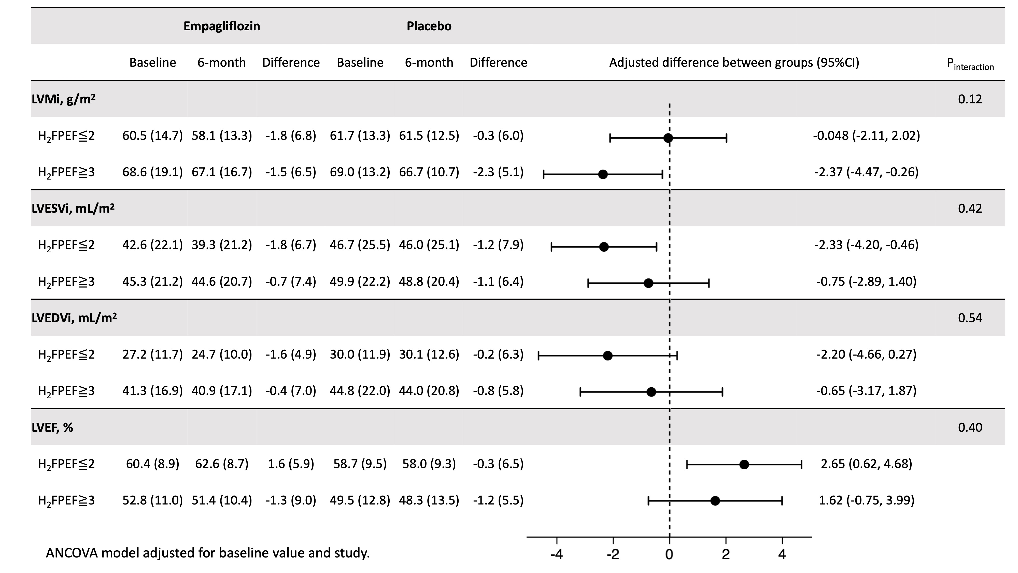
Results: Mean age of the pooled cohort was 60.6 years; 14.0% were females, 37.2% had type 2 diabetes. Mean (SD) LV ejection fraction (LVEF) was 58.0 (10.2) %; median (IQR) NT-proBNP 77.5 (33, 164) pg/mL; mean (SD) H2FPEF score 2.9 (1.4). Empagliflozin (vs placebo) did not significantly alter LV mass index (mean [SD] -1.35 g/m2 [0.75]; P=0.07) and LV end-systolic volume index (LVESVi; mean [SD] -1.37 mL/m2 [0.74]; P=0.07) but did improve LVEF (mean [SD] 2.08% [0.82]; P=0.01). The effect of empagliflozin based on the subgroups of baseline NT-proBNP and H2FPEF scores are shown in Figures 1 and 2, respectively.

Conclusions:
These post hoc analyses suggest that lower baseline NT-proBNP levels and H2FPEF scores may be associated with more favourable reverse LV remodelling by empagliflozin and should be validated in larger studies.
  • Hibino, Makoto  ( Cleveland Clinic , Cleveland , Ohio , United States )
  • Teoh, Hwee  ( St Michael's Hospital , Toronto , Ontario , Canada )
  • Verma, Subodh  ( St Michael's Hospital , Toronto , Ontario , Canada )
  • Quan, Adrian  ( St Michael's Hospital , Toronto , Ontario , Canada )
  • Puar, Pankaj  ( University of British Columbia , Vancouver , British Columbia , Canada )
  • Akhavein, Farhad  ( St Michael's Hospital , Toronto , Ontario , Canada )
  • Wang, Chao-hung  ( Chang Gung Memorial Hospital , KEELUNG , Taiwan )
  • Yan, Andrew  ( St Michael's Hospital , Toronto , Ontario , Canada )
  • Connelly, Kim  ( St Michael's Hospital , Toronto , Ontario , Canada )
  • Mazer, David  ( St Michael's Hospital , Toronto , Ontario , Canada )
  • Author Disclosures:
    Makoto Hibino: DO NOT have relevant financial relationships | Hwee Teoh: DO have relevant financial relationships ; Independent Contractor:Canadian Medical and Surgical Knowledge Translation Research Group:Active (exists now) | Subodh Verma: DO have relevant financial relationships ; Other (please indicate in the box next to the company name):Amarin (Speaker & Consultant):Active (exists now) ; Other (please indicate in the box next to the company name):Sanofi (Speaker & Consultant):Active (exists now) ; Other (please indicate in the box next to the company name):S & L Solutions Event Management Inc. (Speaker & Consultant):Active (exists now) ; Other (please indicate in the box next to the company name):PhaseBio (Speaker & Consultant):Active (exists now) ; Other (please indicate in the box next to the company name):Pfizer (Speaker & Consultant):Active (exists now) ; Other (please indicate in the box next to the company name):Novo Nordisk (Speaker & Consultant):Active (exists now) ; Other (please indicate in the box next to the company name):Novartis (Speaker & Consultant):Active (exists now) ; Other (please indicate in the box next to the company name):Janssen (Speaker & Consultant):Active (exists now) ; Other (please indicate in the box next to the company name):HLS Therapeutics (Speaker & Consultant):Active (exists now) ; Other (please indicate in the box next to the company name):Eli Lilly (Speaker & Consultant):Active (exists now) ; Other (please indicate in the box next to the company name):Canadian Medical and Surgical Knowledge Translation Research Group (Speaker & Consultant):Active (exists now) ; Research Funding (PI or named investigator):Boehringer Ingelheim (Speaker & Consultant):Active (exists now) ; Research Funding (PI or named investigator):Bayer (Speaker & Consultant):Active (exists now) ; Other (please indicate in the box next to the company name):AstraZeneca (Speaker & Consultant):Active (exists now) ; Other (please indicate in the box next to the company name):Amgen (Speaker & Consultant):Active (exists now) | Adrian Quan: DO NOT have relevant financial relationships | Pankaj Puar: DO NOT have relevant financial relationships | Farhad Akhavein: DO NOT have relevant financial relationships | Chao-Hung Wang: DO NOT have relevant financial relationships | Andrew Yan: No Answer | Kim Connelly: No Answer | David Mazer: DO have relevant financial relationships ; Consultant:Amgen:Active (exists now) ; Consultant:Trimedic:Active (exists now) ; Other (please indicate in the box next to the company name):Takeda:Past (completed) ; Consultant:Sandoz:Active (exists now) ; Consultant:PhaseBio:Past (completed) ; Consultant:Werfen:Active (exists now) ; Other (please indicate in the box next to the company name):Delex:Past (completed) ; Consultant:Cytosorbents:Active (exists now) ; Other (please indicate in the box next to the company name):Cerus:Past (completed) ; Consultant:Cardior:Past (completed) ; Consultant:BoehringerIngelheim:Active (exists now) ; Consultant:Biotest:Active (exists now) ; Consultant:BioAge:Past (completed) ; Consultant:Alexion:Active (exists now) ; Consultant:AstraZeneca:Past (completed)
Meeting Info:

Scientific Sessions 2024

2024

Chicago, Illinois

Session Info:
More abstracts on this topic:
A Bridge from Sweet to Sour: A Case of Recurrent Myocardial Stunning in Diabetic Ketoacidosis

Satish Vikyath, Pargaonkar Sumant, Slipczuk Leandro, Schenone Aldo, Maliha Maisha, Chi Kuan Yu, Sunil Kumar Sriram, Borkowski Pawel, Vyas Rhea, Rodriguez Szaszdi David Jose Javier, Kharawala Amrin, Seo Jiyoung

9-Year Longitudinal Assessment of the 12-lead Electrocardiogram of Volunteer Firefighters

Bae Alexander, Dzikowicz Dillon, Lai Chi-ju, Brunner Wendy, Krupa Nicole, Carey Mary, Tam Wai Cheong, Yu Yichen

More abstracts from these authors:
Evolocumab and Saphenous Vein Graft Patency Following Coronary Artery Bypass Graft (CABG) Surgery in People with and without Diabetes: A Pre-Specified Analysis of the Randomized Placebo Controlled NEWTON-CABG CardioLink-5 Trial

Leiter Lawrence, Thorpe Kevin, Saha Tarit, Whitlock Richard, Yanagawa Bobby, Merkely Béla, Juni Peter, Koren Michael, Nicholls Stephen, Bhatt Deepak, Mazer David, Verma Subodh, Teoh Hwee, Mancini G B John, Szarek Michael, Quan Adrian, Elituv Randi, Verma Meena, Misner Elizabeth

Making STRIDEs in diabetes: the role of incretin-based therapy in peripheral artery disease

Bonaca Marc, Verma Subodh

You have to be authorized to contact abstract author. Please, Login
Not Available