Logo

American Heart Association

  151
  0


Final ID: Sa3132

Impact of cigarette smoking on long-term clinical outcomes in patients with coronary chronic total occlusion lesions

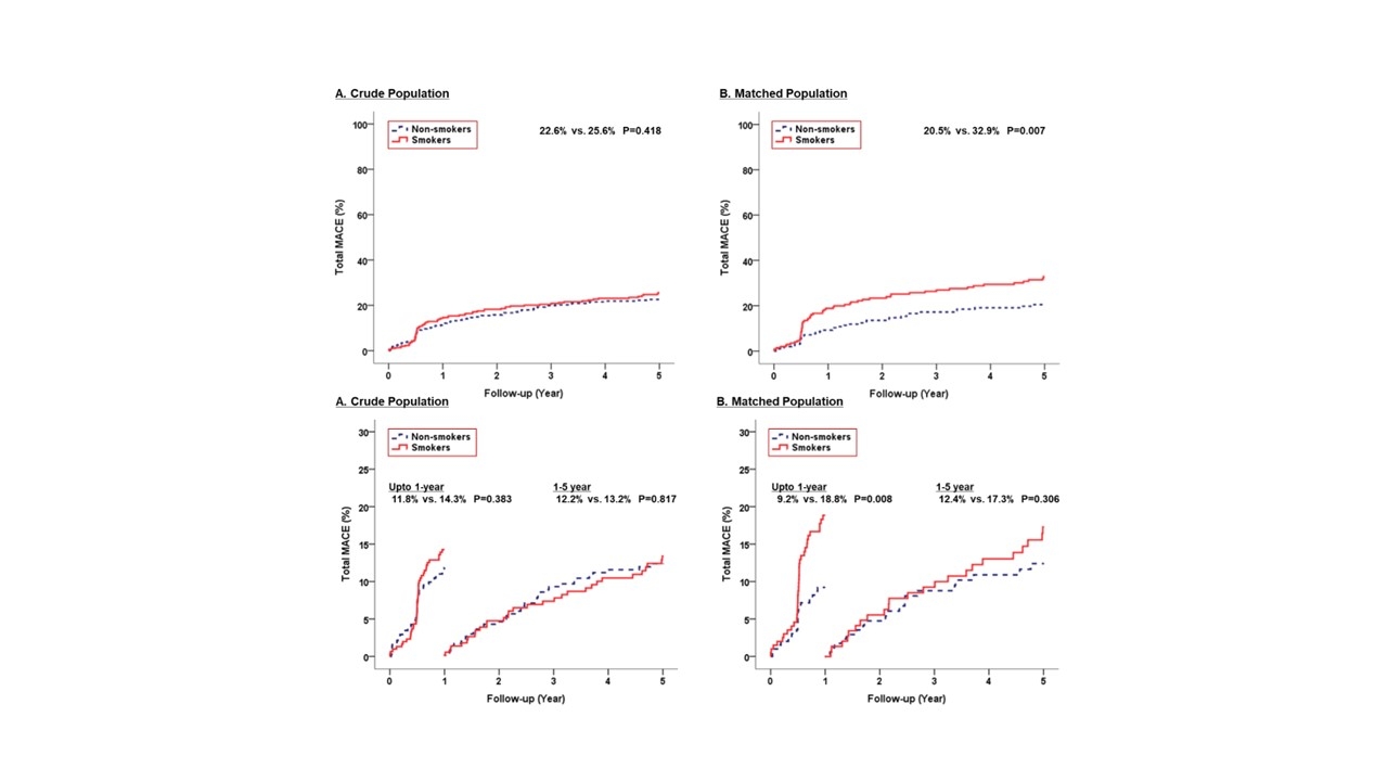
Abstract Body (Do not enter title and authors here): Cigarette smoking is a significant risk factor for coronary artery disease (CAD). However, evidence regarding on the long-term clinical effects of smoking in the Asian population with chronic total coronary occlusion (CTO) is insufficient. This study aimed to assess the effects of smoking on 5-year (median follow-up period 4.2 ± 1.5 years, interquartile range 4.06-5.0 years) clinical outcomes in patients with CTO lesions who had undergone percutaneous coronary intervention (PCI) or medical treatment (MT). We enrolled 681 consecutive patients with CTO who had undergone diagnostic coronary angiography and subsequent PCI or MT. Patients were categorized into smokers (n = 304) and non-smokers (n = 377). The primary endpoint encompassed major adverse cardiovascular events (MACE), including a composite of all-cause death, myocardial infarction (MI), and revascularization over a 5-year period. Propensity score matching (PSM) analysis was used to adjust for potential baseline confounders. After PSM analysis, two propensity-matched groups (200 pairs, n = 400) were generated, and the baseline characteristics of both groups were balanced. The smokers exhibited a higher cardiovascular risk of MACE (29.5% vs. 18.5%, p= 0.010) and non-target vessel revascularization (17.5 vs. 10.5%, p = 0.044) than those of the non-smokers(Table 1). In a landmark analysis using Kaplan-Meier (KM) curvesat the 1-year, the smokers had significantly higher rate of MACE in early period (up to 1-year) (18.8% and 9.2%, p=0.008) compared with non-smokers(Figure 1). Cox hazard regression analysis by propensity score-adjustedwith , revealed that smoking was independently associated with an increased risk of MACE. The findings indicate that smoking is a strong cardiovascular risk factor in patients with CTO, regardless of treatment strategies (PCI or MT) (Figure 2). In addition, in a subgroup analysis, the risk of MACE was most prominently elevated in the group of smokers who underwent PCI.
  • Ahn, Jihun  ( Eulji University Daejeon Hospital , Daejeon , Korea (the Republic of) )
  • Bae, Min Wook  ( Eulji University Daejeon Hospital , Daejeon , Korea (the Republic of) )
  • Author Disclosures:
    JIHUN AHN: DO NOT have relevant financial relationships | Min Wook Bae: DO NOT have relevant financial relationships
Meeting Info:

Scientific Sessions 2024

2024

Chicago, Illinois

Session Info:

Substance Use and Cardiovascular Risk 1

Saturday, 11/16/2024 , 10:30AM - 11:30AM

Abstract Poster Session

More abstracts on this topic:
A novel method for measuring HDL-bound unconjugated bilirubin using an eel fluorescent protein reveals its association with reduced coronary artery disease

Fujioka Tomoo, Iino Takuya, Toh Ryuji, Harada Amane, Nagao Manabu, Shinohara Masakazu, Ishida Tatsuro, Otake Hiromasa

Acute Hemodynamic Effects and Synthetic Cooling Agents in “Clear” E-cigarettes Marketed in Massachusetts After the Tobacco Product Flavoring Ban

Minetti Erika, Erythropel Hanno, Keith Rachel, Davis Danielle, Zimmerman Julie, Krishnan-sarin Suchitra, Hamburg Naomi

You have to be authorized to contact abstract author. Please, Login
Not Available