Logo

American Heart Association

  157
  0


Final ID: Mo4127

Partial versus Full ECMO Support in Combined Cardiogenic and Septic Shock – ELSO Registry Analysis

Abstract Body (Do not enter title and authors here): Background
There remains paucity of data on patient outcomes with combined cardiogenic and septic shock requiring veno-arterial extracorporeal membrane oxygenation (VA-ECMO) support. While guidelines exist on target VA-ECMO flow in cardiogenic shock patients, optimal (partial versus full) flow in combined shock remains largely unknown.
Methods
We queried the Extracorporeal Life Support Organization registry to identify patients in combined cardiogenic and septic shock supported with VA-ECMO between 2017 and 2022. Patients were categorized into either partial or full ECMO support based on ECMO flow at 24 hours indexed to body surface area. Partial support was defined as < 2.2 liters/m2 while full support was ≥2.2 liters/m2. Patients with other forms of mechanical circulatory support, VA-ECMO as bridge to advanced therapies or discharged on VA-ECMO were excluded from the analysis. Primary outcome of interest was survival to discharge. Baseline characteristics including center volumes and Charlson co-morbidity index were compared between survivors and non survivors. Predictors of mortality were identified using multivariable logistical regression model.
Results
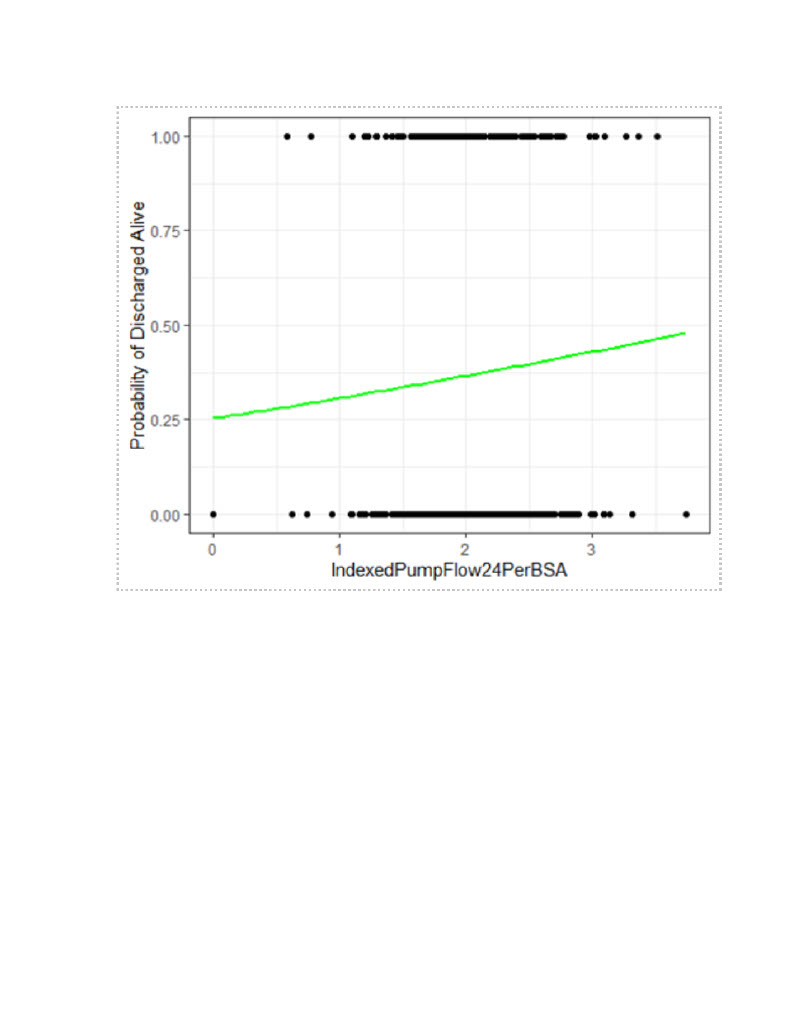
A total of 452 patients with combined shock supported with VA-ECMO were identified. Overall mortality was 63%. Patients that survived to discharge were younger (46.3 vs 53 years, p < 0.001) and had lower BMI (29.3 vs 31.1, p = 0.041), Charlson co-morbidity index (1.4 vs 2.0, p = 0.01) and rates of pre-ECMO cardiac arrest (28.7% vs 39.4%, p = 0.023). Survivors were also more likely to be at high [> 25 ECMO runs per year] volume centers compared to low [≤ 10 ECMO runs per year] volume centers (62.3% vs 20.4%, p = 0.04). Patients receiving full ECMO support had a higher likelihood of survival to discharge than partial support (42.6% vs 33.8%, p = 0.063), although it did not reach statistical significance. [Table 1] Indexed VA-ECMO flow at 24 hours was also associated with improved outcomes when assessed as continuous variable. [ Figure 1] Advanced age [aOR 1.02, 95% CI 1.01-1.04, p < 0.001], pre-ECMO cardiac arrest [aOR 1.71, 95% CI 1.11-2.65, p = 0.016] and baseline Charlson co-morbidity index [aOR 1.13, 95% CI 1.01-1.28, p = 0.043] were all associated with increased mortality after adjustment for baseline differences.
Conclusion
Mortality among patients requiring VA-ECMO for combined cardiogenic and septic shock is high. Full circulatory support may be associated with improved survival in this cohort.
  • Granger, Hannah  ( Vanderbilt University Medical Center , Nashville , Tennessee , United States )
  • Rali, Aniket  ( Vanderbilt University Medical Center , Nashville , Tennessee , United States )
  • Labrada, Lyana  ( Temple University Hospital , Philadelphia , Pennsylvania , United States )
  • Alarfaj, Mohammad  ( University of Kansas Medical Center , Kansas City , Kansas , United States )
  • Tran, Lena  ( University of Texas Southwestern Medical Center , Dallas , Texas , United States )
  • Hu, Jinxiang  ( University of Kansas Medical Center , Kansas City , Kansas , United States )
  • Baker, Jordan  ( University of Kansas Medical Center , Kansas City , Kansas , United States )
  • Rali, Taylor  ( Vanderbilt University Medical Center , Nashville , Tennessee , United States )
  • Bacchetta, Matthew  ( Vanderbilt University Medical Center , Nashville , Tennessee , United States )
  • Anders, Marc  ( Texas Children's Hospital , Houston , Texas , United States )
  • Tonna, Joseph  ( University of Utah , Salt Lake Cty , Utah , United States )
  • Lindenfeld, Joann  ( Vanderbilt University Medical Center , Nashville , Tennessee , United States )
  • Shah, Zubair  ( University of Kansas Medical Center , KC , Kansas , United States )
  • Author Disclosures:
    Hannah Granger: DO NOT have relevant financial relationships | Marc Anders: DO NOT have relevant financial relationships | Joseph Tonna: DO NOT have relevant financial relationships | Joann Lindenfeld: DO NOT have relevant financial relationships | Zubair Shah: No Answer | Aniket Rali: DO have relevant financial relationships ; Consultant:Analog Devices:Active (exists now) ; Consultant:Volumetrix:Active (exists now) ; Consultant:Vectorious:Active (exists now) ; Consultant:Abiomed:Active (exists now) ; Consultant:CareTaker Medical:Active (exists now) | Lyana Labrada: DO NOT have relevant financial relationships | Mohammad Alarfaj: DO NOT have relevant financial relationships | Lena Tran: No Answer | jinxiang hu: No Answer | Jordan Baker: No Answer | Taylor Rali: DO NOT have relevant financial relationships | Matthew Bacchetta: DO NOT have relevant financial relationships
Meeting Info:

Scientific Sessions 2024

2024

Chicago, Illinois

Session Info:

Critical Care Cardiology Medley Reprise

Monday, 11/18/2024 , 10:30AM - 11:30AM

Abstract Poster Session

More abstracts on this topic:
Artificial Intelligence Prediction of Atrial Fibrillation Using Pre-Cannulation Electrocardiograms in Patients Undergoing Veno-Venous Extracorporeal Membrane Oxygenation

Corro Rosa, Goswami Rohan, Moreno Franco Pablo, Khanijo Aditya, Ghosh Saptarshi, Desai Aarti, Vergara-sanchez Carlos, Olivero Lorenzo, Menser Terri, Chaudhary Sanjay, Guru Pramod

Association Between Hospital Teaching Status and Outcomes in Patients with Cardiogenic Shock Complicating Acute Myocardial Infarction

Arshad Muhammad Sameer, Iqbal Naeem, Kumari Komal, Manal Ishba, Nasir Aamna, Javaid Syed Sarmad, Arshad Anosha, Abbas Faizan, Abideen Zain Ul, Fatima Saba, Harrison Marian, Hassan Shahzaib, Irshad Ayman

You have to be authorized to contact abstract author. Please, Login
Not Available