Logo

American Heart Association

  152
  0


Final ID: MDP1408

Association of assessment of clinical congestion in patients with heart failure compared with assessment using bioimpedance and microwave spectroscopy

Abstract Body (Do not enter title and authors here): Background: Physicians have to find a balance between decongestion therapy and the risk of dehydration so non-invasive methods assessing congestion are of great importance.
Purpose: The study aimed to compare the clinical assessment of congestion to bioimpedance and microwave spectroscopy.
Methods: 27 hospitalized HF patients with congestion (40% females) (Congestion Group) and 59 HF patients without fluid overload (66% females) (NON-Congestion Group) were included. Clinical examination, chest x-ray, laboratory results, echocardiography, non-invasive body mass analysis (Tanita Pro), NT-poBNP, and selected modern biomarkers concentrations [GDF-15, galectin-3, FABP, copeptin, VEGF were performed. Additionally, we assessed pulmonary congestion using a proprietary sensor with a microwave spectroscopy method based on analyzing the dielectric properties of an object (patent applications P.442466).
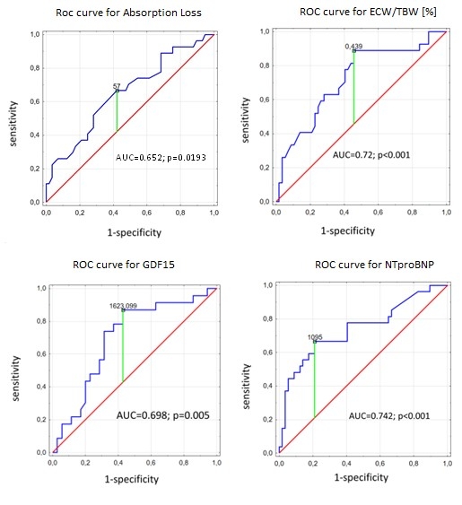
Results: There were no differences in body mass index, blood pressure values, left ventricular ejection fraction (LVEF), and echocardiographic parameters of diastolic left ventricular function between groups. In the Congestion Group, we observed significantly more patients in NYHA Class 3 and 4 (p<0.001), lower values of fT3 (median 2.4 vs 2.7; p=0.02), higher a FIB-4 index (p=0.04), lower GFR MDRD (median 52.7 vs 66.7;p=0.04), higher concentrations of: NT-proBNP (pg/ml) (median 545 vs 101; p<0.001), galectin-3 (ng/ml) (median 15.01 vs 11.35; p=0.01), GDF-15 (pg/ml) (median 2069.27 vs 734.64; p=0.01), FABP (pg/ml) (median 293.6 vs 101; p=0.008) compared to NON-Congestion Group, and a larger number of detected congestion in chest x-ray (p<0.01) and more patients with limb edema (p= 0.0037). The patients with congestion also needed longer hospitalizations (p=0.008). Patients with congestion had lower total body water content in kg and intracellular water (ICW) (kg) (p=0.02 and p=0.01, respectively), and the higher extracellular water/total body water index (ECW/TBW) (p=0.001) assessed in bioimpedance and significantly higher Absorption Loss evaluated with the use of microwave spectroscopy (p=0.02). In a multiple logistic regression model, the factor that was independently associated with clinically diagnosed congestion was NT-proBNP >1095 pg/ml (OR 111.6, 95% CI: 2.6-50.6; p=0.001) (Figure 1).
Conclusions: Absorption Loss and ECW/TBW are valuable new diagnostic tools in diagnosing lung congestion in patients with heart failure.
  • Bielecka-dabrowa, Agata  ( Medical University of Lodz and Polish Mothers Memorial Research Institute , Lodz , Lodz , Poland )
  • Zasada, Ilona  ( University of Lodz , Lodz , Poland )
  • Olejniczak, Wielislaw  ( University of Lodz , Lodz , Poland )
  • Sakowicz, Agata  ( Medical University of Lodz , Lodz , Lodz , Poland )
  • Slot, Maciej  ( University of Lodz , Lodz , Poland )
  • Author Disclosures:
    Agata Bielecka-Dabrowa: DO have relevant financial relationships ; Speaker:Boehringer Ingelhaim:Past (completed) ; Speaker:Gedeon Richter:Past (completed) ; Consultant:Aflofarm:Past (completed) ; Speaker:Servier:Expected (by end of conference) ; Speaker:Novartis:Past (completed) ; Speaker:Pfizer:Past (completed) | Ilona Zasada: No Answer | Wielislaw Olejniczak: No Answer | Agata Sakowicz: DO NOT have relevant financial relationships | Maciej Slot: DO NOT have relevant financial relationships
Meeting Info:

Scientific Sessions 2024

2024

Chicago, Illinois

Session Info:

Imaging and Technologies in Heart Failure

Monday, 11/18/2024 , 09:30AM - 10:55AM

Moderated Digital Poster Session

More abstracts on this topic:
ANDES-CHD-AI study: A New algorithm DEtectS critical Congenital Heart Disease using Artificial Intelligence at different altitudes

Bravo-jaimes Katia, Mallma Majhifl, Sharma Grishma, Gamarra-valverde Norma, Velarde Zegarra Luis, Blas Ortiz Karem Beatriz, Cordova Paucarchuco Daniel Odiseo, Astete Valdez Beatriz Regina, Aguirre Jimenez Joaquin, Cutipa Apaza Nicol Alexandra, Jaramillo Ospina Luisa Fernanda, Nombera Aznaran Milagros, Triveno Huamannahui Jenny, Avila Arias Diana Nathaly, Laura Cabrera Mabel, Vargas Montano Alessandra, Mcleod Christopher, Carter Rickey, Davila Carmen, Tolentino Gabancho Priscila Carol, Ordaz Paulina, Martinez Leslie, Galdos Jorge, Rosales Claudio William Walt, Chavez Edgar

A Biomarker Based on Aneurysm Wall Enhancement and Blood Gene Expression to Identify Symptomatic Intracranial Aneurysms

Veeturi Sricharan, Poppenberg Kerry, Jaikumar Vinay, Pinter Nandor, Levy Elad, Siddiqui Adnan, Tutino Vincent

More abstracts from these authors:
You have to be authorized to contact abstract author. Please, Login
Not Available