Logo

American Heart Association

  110
  0


Final ID: Mo4047

Demographics and Cardiovascular Mortality Among Kaposi Sarcoma Patients in the United States: An Analysis of the SEER Database

Abstract Body (Do not enter title and authors here): Aims and Background
Kaposi sarcoma (KS) is a vascular neoplasm caused by human herpesvirus. Despite its significance, there is limited data regarding the causes and mortality factors associated with KS, particularly concerning cardiovascular mortality rates and specific influencing factors.


Methods
The Surveillance, Epidemiology, and End Results (SEER) database was used to gather data from 2000 to 2020. The primary endpoint was overall survival, assessed via log-rank analysis and Kaplan-Meier plots. Hazard ratios (HR) with 95% confidence intervals (CIs) were calculated using SAS v9.4, with significance set at p<0.05.


Results
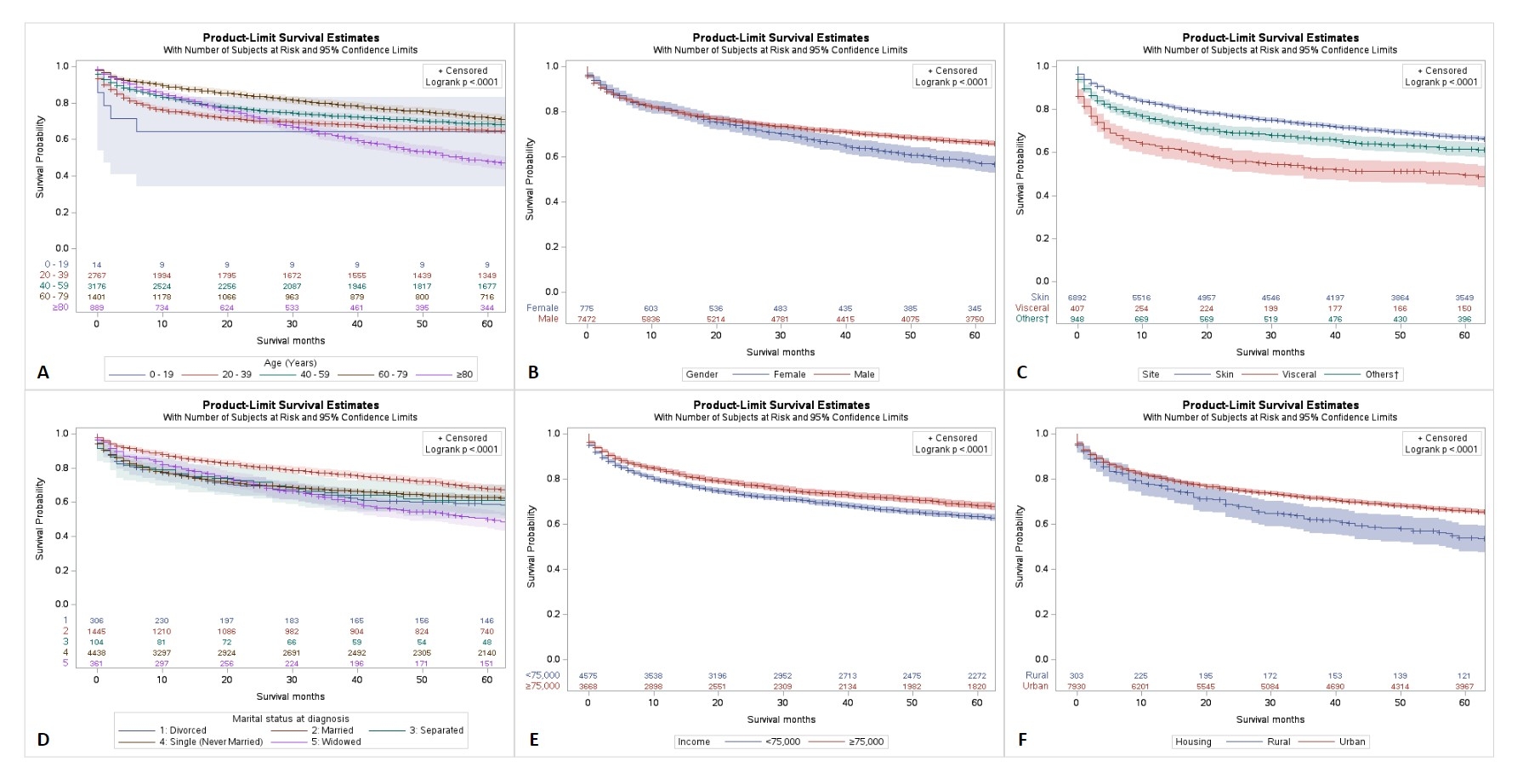
We identified 8,247 patients with KS. Most were male (90.6%) and aged 40-59 years old (38.5%).
Mortality data from KS showed that 56.3% of diagnosed patients were alive. Among those who died, 49.8% died of infectious causes, 11.4% died of cardiac causes, and the remaining died of other causes, such as leukemias and complications. Advanced age (>80 years) vs. 0-19 year age group (HR: 2.263; 95% CI: 1.068-4.795; p=0.033), non-Hispanic Black race vs. non-Hispanic White race (HR 1.492; 95% CI: 1.369-1.627; p=0.001), and visceral involvement vs. cutaneous KS (HR 1.709; 95% CI: 1.487-1.963; p=0.001) were factors associated with increased mortality. Females had a slightly lower long-term survival than males (p<0.001). Married individuals, higher incomes (≥$75,000), and urban areas of living had higher survival rates compared to widowed patients, lower-income patients (<$75,000), and those in rural locations, respectively (p<0.001, for all).
In the subgroup analysis, females (24.3%; n=112) had significantly higher cardiac-related deaths than males (9.5%; n=297) (p<0.0001). Cardiac-related deaths were highest in White patients (16.1%; n=279), followed by Hispanics (10.4%; n=79).


Conclusions
Cardiac causes accounted for 11.4% of deaths. Various factors are associated with an increased mortality risk.
  • Khan, Rozi  ( Medical University of South Carolina , Florence , South Carolina , United States )
  • Tareen, Tamour  ( Wake Forest, Atrium Health , Charlotte , North Carolina , United States )
  • Sethi, Pooja  ( Texas Tech University Health Sciences , Lubbock , Texas , United States )
  • Alexander, Thomas  ( Corpus Christi Medical Center , Corpus Christi , Texas , United States )
  • Ullah, Asad  ( Texas Tech University Health Sciences Center , Lubbock , Texas , United States )
  • Goyal, Aman  ( Seth GS Medical College and KEM Hospital , Mumbai , India )
  • Yasinzai, Abdul Qahar Khan  ( Bolan Medical College , Quetta , Pakistan )
  • Tracy, Katharine  ( Medical College of Georgia, Augusta University , Augusta , Georgia , United States )
  • Sohail, Amir  ( University of New Mexico , Albuquerque , New Mexico , United States )
  • Ballur, Shalini  ( University of Georgia , Athens , Georgia , United States )
  • Flesner, Samuel  ( University of New Mexico , Albuquerque , New Mexico , United States )
  • Mahmood, Ahmed  ( Corpus Christi Medical Center , Corpus Christi , Texas , United States )
  • Ballur, Kalyani  ( Medical College of Georgia, Augusta University , Augusta , Georgia , United States )
  • Author Disclosures:
    Rozi Khan: DO NOT have relevant financial relationships | Tamour Tareen: No Answer | Pooja Sethi: No Answer | Thomas Alexander: DO NOT have relevant financial relationships | Asad Ullah: No Answer | Aman Goyal: DO NOT have relevant financial relationships | Abdul Qahar Khan Yasinzai: DO NOT have relevant financial relationships | Katharine Tracy: DO NOT have relevant financial relationships | Amir Sohail: No Answer | Shalini Ballur: No Answer | Samuel Flesner: No Answer | Ahmed Mahmood: DO NOT have relevant financial relationships | Kalyani Ballur: DO NOT have relevant financial relationships
Meeting Info:

Scientific Sessions 2024

2024

Chicago, Illinois

Session Info:

Mind the Gap: Disparities and Population Studies in Cardio-Oncology

Monday, 11/18/2024 , 01:30PM - 02:30PM

Abstract Poster Session

More abstracts on this topic:
A Potential Role for NKG2D, an NK cell receptor, in Accelerated CVD risk in African American Women Living in More Adverse Neighborhood Conditions: Data From the Step It Up Physical Activity Digital Health-Enabled, Community-Engaged Intervention

Baez Andrew, Andrews Marcus, Sandler Dana, Aquino Peterson Elizabeth, Sharda Sonal, Tolentino Katherine Joy, Lopez De Leon Shirley, Seo Jein Eleanor, Cintron Manuel, Pita Mario, Tarfa Hannatu, Baumer Yvonne, Reger Robert, Childs Richard, Powell-wiley Tiffany, Dave Ayushi, Saurabh Abhinav, Mendelsohnl Laurel, Chen Long, Igboko Muna, Wells Ayanna, Marah Marie

A Case of Concomitant Wild-Type Transthyretin and Systemic Light Chain Amyloidosis Involving Separate Organs

Chiu Leonard, Afrough Aimaz, Nadeem Urooba, Jebakumar Deborah, Grodin Justin

More abstracts from these authors:
Demographics, Clinicopathological Outcomes and Comparative Survival Analysis of Pleural and Pericardial Mesothelioma; A Retrospective Population-Based Study

Khan Rozi, Ullah Hafeez, Ghafouri Sayed Ab Reshad, Elhawi Mary, Mahmood Ahmed, Pooja Sethi, Ullah Asad, Wali Agha, Yasinzai Abdul Qahar Khan, Iqbal Asif, Sohail Amir, Goyal Aman, Ullah Kaleem, Tareen Bisma, Khan Marjan

Demographics and Factors Influencing Mortality Among Cardiac Angiosarcoma Patients: An Analysis of the SEER Database

Khan Rozi, Mahmood Ahmed, Sohail Amir, Pooja Sethi, Aljaroudi Wael, Ullah Asad, Goyal Aman, Wali Agha, Yasinzai Abdul Qahar Khan, Tareen Bisma, Khan Marjan, Ullah Hafeez, Iqbal Asif, Ghafouri Sayed Ab Reshad

You have to be authorized to contact abstract author. Please, Login
Not Available